Foram encontradas 369 questões.
- MarketingPromoção
- MarketingEstratégias de Marketing
- Comunicação OrganizacionalPlanejamento Estratégico de Comunicação
- Publicidade e PropagandaProdução PublicitáriaAgência de Publicidade
- Publicidade e PropagandaProdução PublicitáriaRedação Publicitária
- Publicidade e PropagandaProdução PublicitáriaAtendimento na Publicidade
- Publicidade e PropagandaProdução PublicitáriaCriação e Direção de Arte
Um fabricante de veículos prepara o lançamento de um novo produto e encomenda a sua agência de propaganda uma estratégia de posicionamento específico por atributo. Seguindo essa orientação, a agência irá
Provas
Questão presente nas seguintes provas
- Publicidade e PropagandaProdução PublicitáriaAgência de Publicidade
- Publicidade e PropagandaProdução PublicitáriaOrçamento de Comunicação
- Publicidade e PropagandaProdução PublicitáriaCriação e Direção de Arte
Algumas empresas usam a propaganda para a criação de demanda primária, ou seja, para a divulgação de um gênero de produto. Exemplo: os produtores de leite podem, em conjunto, fazer anúncios visando ao aumento de consumo de toda a categoria do produto. Nesse caso, os custos dos anúncios são rateados entre os membros de uma associação. A este tipo de propaganda, com o compartilhamento das despesas pelos anunciantes, dá-se o nome de propaganda
Provas
Questão presente nas seguintes provas
- MarketingFundamentos do MarketingComposto de Marketing em Comunicação Social
- MarketingPromoção
- MarketingEstratégias de Marketing
- Comunicação OrganizacionalPlanejamento Estratégico de Comunicação
O mix promocional é um conjunto de ferramentas para que sejam atingidos os objetivos especificados na estratégia de comunicação da empresa. A respeito dessas ferramentas, pode-se afirmar que a(s)
Provas
Questão presente nas seguintes provas
O gerente de um projeto de software identificou atraso em seu cronograma. O que ele pode fazer para que os prazos desse cronograma sejam cumpridos?
Provas
Questão presente nas seguintes provas
No contexto de gestão de riscos de um projeto de software, assinale a afirmativa correta.
Provas
Questão presente nas seguintes provas
Você montou a WBS (Work Breakdown Structure) do seu projeto e chegou ao seu nível mais baixo, no qual foram especificadas as estimativas de custo e tempo. De acordo com o PMBOK, esse nível da WBS é denominado
Provas
Questão presente nas seguintes provas
Os empregados de uma determinada empresa costumam entrar em greve sempre no mesmo mês de cada ano. Sabendo disso, o gerente de projetos que trabalha com esses empregados faz o seu planejamento de resposta a riscos seguindo as melhores práticas do PMBOK. Assim, na ocorrência desse risco, entra em ação o Plano
Provas
Questão presente nas seguintes provas
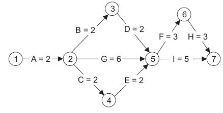
O diagrama de rede abaixo representa as atividades de um cronograma de um projeto, onde a duração de cada atividade é mensurada em dias.

Se as durações das atividades H e I fossem alteradas, respectivamente, para 4 e 6 dias, qual seria o caminho crítico?

Se as durações das atividades H e I fossem alteradas, respectivamente, para 4 e 6 dias, qual seria o caminho crítico?
Provas
Questão presente nas seguintes provas
Observe a árvore de decisão abaixo relativa ao desenvolvimento de um projeto de software. Os números decimais entre parênteses representam o valor da probabilidade da escolha do ramo, enquanto que o valor em reais, o custo de cada opção.

Analisando a árvore acima, conclui-se que

Analisando a árvore acima, conclui-se que
Provas
Questão presente nas seguintes provas
- Legislação e NormasNormas sobre Planejamento e Controle de Obras
- Planejamento e Controle de ObrasObras Públicas e Licitações
Segundo a Lei nº10.520 de 17/07/2002, e suas alterações, a fase externa do pregão será iniciada com a convocação dos interessados. Entre outras regras, essa legislação determina que o prazo fixado para apresentação das propostas, contado a partir da publicação do aviso, não será inferior a
Provas
Questão presente nas seguintes provas
Cadernos
Caderno Container