Foram encontradas 80 questões.
READ TEXT I AND ANSWER QUESTIONS 21 TO 25:

should in "to which the next mayor should give priority" (l. 30/31) expresses a(n):
Provas
READ TEXT I AND ANSWER QUESTIONS 21 TO 25:

In relation to Favela-Bairro, the survey indicated that city dwellers have shown to be:
Provas
READ TEXT I AND ANSWER QUESTIONS 21 TO 25:

Those who came to the poll were:
Provas
READ TEXT I AND ANSWER QUESTIONS 21 TO 25:

According to the text, Favela-Bairro adopted the integral approach methodology:
Provas
READ TEXT I AND ANSWER QUESTIONS 21 TO 25:

The idea implied in the expression "from welfare to work" (l. 3/4) is one of:
Provas
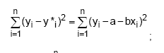
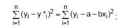
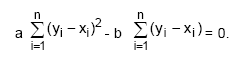
Dado um conjunto de pontos (x1 , y1), (x2 , y2),...,(xn , yn), observações de duas variáveis aleatórias contínuas X e Y, a regressão linear de Y em X é obtida ajustando-se uma reta y* = a* + b*x ao conjunto de pontos. Se y*i é o valor obtido na reta ajustada correspondente à observação xi, i = 1, 2,..,n, a reta de regressão será aquela tal que os coeficientes a* e b* são calculados de modo a:
Provas
Em relação aos riscos corridos por um banco comercial NÃO é correto afirmar que:
Provas
Em relação ao spread bancário em nosso país observe as afirmativas a seguir:
I - Spread é basicamente a diferença entre o custo ao tomador e a taxa de captação.
II - Um dos custos que mais oneram o spread bancário é a inadimplência.
III - São fatores importantes na composição do spread os valores associados ao mark-up dos bancos.
IV - Os impostos indiretos em geral representam menos de 1% do spread.
Estão corretas as afirmativas:
Provas
Crescimento econômico e preservação do meio ambiente não podem ser entendidos como princípios mutuamente excludentes. Empresas que, por suas atividades, afetam o meio ambiente, causando poluição, por exemplo, podem e devem adotar medidas mitigadoras.
Em relação a esta temática, observe as afirmativas a seguir:
I - Empresas que poluem devem adotar práticas ecologicamente corretas não apenas por exigência da sociedade, mas também por razões estratégicas empresariais.
II - Empresas que incluem preocupações ambientais em suas estratégias ficam necessariamente menos competitivas mas ganham em imagem junto ao público consumidor.
III - As regulações ambientais que obriguem as empresas a adotar ações menos degradantes são instrumentos importantes principalmente quando as empresas têm a convicção de que investimentos ambientais representam apenas custos.
IV - Investimentos ambientais são induzidos basicamente pelas pressões das regulamentações ambientais, dos consumidores finais e intermediários, dos stakeholders e dos investidores.
Estão corretas as afirmativas:
Provas
Para assegurar a segurança e a confiabilidade do sistema financeiro internacional, o acordo da Basiléia estrutura-se em três pilares, dos quais o mais importante é o cálculo do capital regulatório.
Se CT indica o capital total, RC, RO e RM indicam os riscos de crédito, operacional e de mercado, respectivamente, então o cálculo do capital mínimo requerido é dado por:
Provas
Caderno Container