Magna Concursos

Foram encontradas 352 questões.

131078 Ano: 2002
Disciplina: TI - Redes de Computadores
Banca: VUNESP
Orgão: BNDES

Nas questões de números 08, 09 e 10, assinale a alternativa que completa, correta e respectivamente, os espaços dos textos apresentados.

A qualidade de serviço (QoS) em rede de computadores tem como objetivo identificar os fluxos e gerenciar os recursos para prover um adequado serviço de tráfego de informações. No protocolo IP, é possível definir o nível de prioridade do pacote entre 0 e 5, utilizando-se_______ bits do campo______

 

Provas

Questão presente nas seguintes provas
130732 Ano: 2002
Disciplina: TI - Desenvolvimento de Sistemas
Banca: VUNESP
Orgão: BNDES

Nas questões de números 39 e 40, assinale a alternativa que completa, correta e respectivamente, as lacunas dos textos apresentados.

Depois que o software foi_______ um conjunto de testes______ é realizado. Os______ , estabelecidos durante_______ devem ser testados.

 

Provas

Questão presente nas seguintes provas
130185 Ano: 2002
Disciplina: TI - Gestão e Governança de TI
Banca: VUNESP
Orgão: BNDES

Nas questões de números 39 e 40, assinale a alternativa que completa, correta e respectivamente, as lacunas dos textos apresentados.

No gerenciamento de projetos, uma das técnicas de análise de risco é_______ , que relaciona forças, fraquezas, oportunidades e ameaças de cada alternativa de condução do projeto.

 

Provas

Questão presente nas seguintes provas
130184 Ano: 2002
Disciplina: TI - Gestão e Governança de TI
Banca: VUNESP
Orgão: BNDES

As estruturas organizacionais refletem-se diretamente nos projetos por elas gerenciados. Entre essas diversas estruturas organizacionais, a autoridade do gerente de projeto é maior na estrutura

 

Provas

Questão presente nas seguintes provas
130183 Ano: 2002
Disciplina: TI - Banco de Dados
Banca: VUNESP
Orgão: BNDES

Dentro de uma visão de um ciclo de vida de projeto, o número de fases de um projeto é uma função de sua natureza, podendo variar de quatro a nove. Uma dessas fases é aquela em que se detalhará tudo aquilo que será feito, incluindo cronogramas, interdependências entre atividades, alocação dos recursos envolvidos, análise dos custos, entre outros. Essa fase é denominada

 

Provas

Questão presente nas seguintes provas
130182 Ano: 2002
Disciplina: TI - Desenvolvimento de Sistemas
Banca: VUNESP
Orgão: BNDES

Um programa escrito na linguagem_______ é composto de_________ divisões. O________ define os arquivos a serem utilizados no programa, a sua organização, meio de acesso, chaves primárias e/ou secundárias.

Assinale a alternativa que completa, correta e respectivamente, os espaços do texto

 

Provas

Questão presente nas seguintes provas
130181 Ano: 2002
Disciplina: TI - Desenvolvimento de Sistemas
Banca: VUNESP
Orgão: BNDES

A respeito da linguagem Delphi 5, pode-se afirmar que

 

Provas

Questão presente nas seguintes provas
130180 Ano: 2002
Disciplina: TI - Desenvolvimento de Sistemas
Banca: VUNESP
Orgão: BNDES

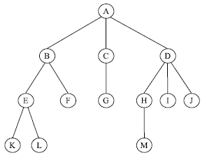
Considere a seguinte estrutura de dados do tipo árvore, onde os nós estão denominados por letras de A a M.

enunciado 1935634-1

Assinale a afirmação correta a respeito desta árvore.

 

Provas

Questão presente nas seguintes provas
130179 Ano: 2002
Disciplina: TI - Desenvolvimento de Sistemas
Banca: VUNESP
Orgão: BNDES

Leia o Enunciado a seguir para responder às questões de números 32 e 33.

Considere a seguinte estrutura de dados, onde cada célula é composta por um link (apontador) para a célula à esquerda (LE), um link para a célula à direita (LD) e os dados (D). Esta estrutura possui, também, um Header, que é uma célula que não contém informação e é utilizada para auxiliar no gerenciamento da estrutura.

enunciado 1935633-1

Considerando a estrutura de dados anterior, deseja-se construir uma subrotina Insere(P,X) para inserir uma célula genérica P à direita de uma célula X. A lógica desta subrotina é apresentada a seguir, porém sem o seu núcleo principal.

enunciado 1935633-2

Assinale a alternativa que completa corretamente a lógica do Núcleo Principal da subrotina Insere(P,X).

 

Provas

Questão presente nas seguintes provas
130178 Ano: 2002
Disciplina: TI - Redes de Computadores
Banca: VUNESP
Orgão: BNDES

Leia o Enunciado a seguir para responder às questões de números 32 e 33.

Considere a seguinte estrutura de dados, onde cada célula é composta por um link (apontador) para a célula à esquerda (LE), um link para a célula à direita (LD) e os dados (D). Esta estrutura possui, também, um Header, que é uma célula que não contém informação e é utilizada para auxiliar no gerenciamento da estrutura.

enunciado 1935632-1

A estrutura de dados anterior pode ser classificada de

 

Provas

Questão presente nas seguintes provas