Foram encontradas 352 questões.
Considere a seguinte descrição a respeito de um dos modelos de estruturas organizacionais nas empresas: "Esse modelo organizacional se caracteriza por utilizar a mesma linha de controle para projetos e rotina. Os projetos são conduzidos por equipes pertencentes a cada departamento, e suas responsabilidades são limitadas pelas fronteiras de suas funções. A importância dada aos projetos é pequena." O texto refere-se à estrutura
Provas
A área do gerenciamento de projetos que engloba os processos requeridos para assegurar que no projeto esteja incluído todo o trabalho requerido, e somente o trabalho requerido, para concluí-lo de maneira bem sucedida, é denominado gerenciamento de
Provas
Dentro de uma visão de um ciclo de vida de projeto, a fase cujo objetivo é comparar o status atual do projeto com o status previsto pelo planejamento, tomando ações corretivas em caso de desvio, é a fase de
Provas
A divisão de um programa escrito na linguagem Cobol, que armazena todos os dados a serem processados ou manipulados pelo programa durante o processamento é a
Provas

Provas

Provas

Provas
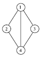
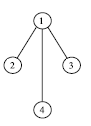
A partir desta lista de adjacência, pode-se concluir que a
representação gráfica deste grafo éProvas
- Fundamentos de ProgramaçãoPassagem de Parâmetros
- Fundamentos de ProgramaçãoPonteiros e Referências
- LinguagensC
Considere a seguinte definição de uma função na linguagem C.
void Func (int *par1, int *par2);
Seja a definição da variável teste e a chamada da função Func a seguir.
int teste;
.
.
.
Func (&teste, &teste);
Pode-se afirmar que
Provas
Considere as seguintes afirmações sobre os paradigmas de ciclo de vida de engenharia de software.
I. No paradigma de prototipação, o protótipo idealmente serve como mecanismo para identificar os requisitos de software.
II. No paradigma de prototipação, o protótipo será descartado (no todo ou em parte) e o software real será reprojetado.
III. O modelo espiral define quatro atividades, que são executadas nesta ordem: planejamento, análise de riscos, engenharia, avaliação pelo cliente.
Sobre as afirmações, pode-se dizer que
Provas
Caderno Container