Foram encontradas 1.200 questões.
No jornalismo, o planejamento cuidadoso de uma edição
Provas
Questão presente nas seguintes provas
Atendidas as normas pertinentes ao Código da Propriedade Industrial, a publicidade comparativa é aceita pelo Código Brasileiro de Autorregulamentação Publicitária (CONAR).
Porém, para que uma publicidade comparativa seja reconhecida como lícita pelo CONAR, ele impõe limites específicos, dentre os quais que
Provas
Questão presente nas seguintes provas
Utilize as informações a seguir para responder à questão.
A figura mostra um mecanismo biela-manivela-pistão. O comprimento da manivela é R. O ângulo entre a biela e a manivela é 90º.

Se a velocidade angular da manivela é ω, a velocidade do pistão será
Provas
Questão presente nas seguintes provas
1606565
Ano: 2011
Disciplina: Engenharia Eletrônica
Banca: CESGRANRIO
Orgão: BR Distribuidora
Disciplina: Engenharia Eletrônica
Banca: CESGRANRIO
Orgão: BR Distribuidora
Provas:

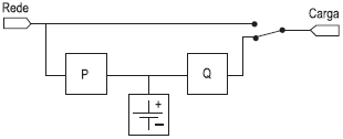
A figura acima mostra o circuito básico de um no-break, fornecendo energia para a carga através de um banco de baterias. O elemento P é utilizado para converter a energia da rede que está em corrente alternada, para carregar o bando de baterias em corrente contínua. O elemento Q é utilizado para converter a energia do banco de baterias em corrente contínua, para alimentar a carga em corrente alternada.
Os elementos P e Q são, respectivamente,
Provas
Questão presente nas seguintes provas
Setor de Informações
I
O rapazinho que seguia à minha frente na Visconde de Pirajá abordou um velho que vinha em sentido contrário:
– O senhor pode me informar onde é a Rua Gomes Carneiro?
O velho ficou calado um instante, compenetrado:
– Você vai seguindo por aqui - falou afinal, apontando com o braço: - Ali adiante, depois de passar a praça, dobra à direita. Segue mais dois quarteirões.
Chegando na Lagoa...
Não resisti e me meti no meio:
– Me desculpe, mas Gomes Carneiro é logo ali.
Mostrei a esquina, na direção oposta.
– Ah, é aquela ali? – o velho não se abalou:
– Pois eu estava certo de que era lá para os lados da Lagoa.
E foi-se embora, muito digno. O rapazinho me agradeceu e foi-se embora também, depois de resmungar:
– Se não sabe informar, por que informa?
Realmente, não há explicação para esta estranha compulsão que a gente sente de dar informação, mesmo que não saiba informar.
II
Pois ali estava eu agora na esquina das Ruas Bulhões de Carvalho e Gomes Carneiro (a tal que o rapazinho procurava), quando fui abordado pelo motorista de um carro à espera do sinal.
– Moço, o senhor pode me mostrar onde fica a casa do sogro do doutor Adolfo?
Seu pedido de informação era tão surpreendente que não resisti e perguntei, para ganhar tempo:
– A casa do sogro do doutor Adolfo?
Ele deixou escapar um suspiro de cansaço:
– O doutor Adolfo me mandou trazer o Dodge dele de Pedro Leopoldo até a casa do sogro, aqui no Rio de Janeiro. O carro está velho, penei como o diabo para trazer até aqui. Perdi o endereço, só sei que é em Copacabana.
O Dodge do doutor Adolfo. O doutor Adolfo de Pedro Leopoldo. Aquilo me soava um tanto familiar:
– Como é o nome do sogro do doutor Adolfo?
Ele coçou a cabeça, encafifado:
– O senhor sabe que não me lembro? Um nome esquisito...
Esse doutor Adolfo de Pedro Leopoldo mora hoje em Belo Horizonte?
– Mora sim senhor.
– Tem um irmão chamado Oswaldo?
– Tem sim senhor.
– Por acaso o nome dele é Adolfo Gusmão?
– Isso mesmo. O senhor sabe onde é que é a casa do sogro dele?
Respirei fundo, mal podendo acreditar:
– Sei. O sogro dele mora na Rua Souza Lima. É aqui pertinho. Você entra por ali, vira aquela esquina, torna a virar a primeira à esquerda...
Ele agradeceu com a maior naturalidade, como se achasse perfeitamente normal que a primeira pessoa abordada numa cidade de alguns milhões de habitantes soubesse onde mora o sogro do doutor Adolfo, de Pedro Leopoldo. Antes que se fosse, não sei como não me ajoelhei, tomei-lhe a bênção e pedi que me informasse o caminho da morada de Deus.
SABINO, Fernando. A volta por cima. Rio de Janeiro: Record, 1990. p. 34-39. Adaptado.
Observe o emprego da palavra mal no período abaixo. “Respirei fundo, mal podendo acreditar.”
Essa palavra é empregada com o mesmo sentido em:
Provas
Questão presente nas seguintes provas
Na transição do período denominado “ditadura militar” para o chamado “período democrático” ocorreu no Brasil o fato de que,
Provas
Questão presente nas seguintes provas
Um circo e um antipalhaço
Em 1954, numa cidadezinha universitária dos Estados Unidos, vi “o maior circo do mundo”, que continua a ser o sucessor do velho Barnum & Bailey, velho conhecido dos meus primeiros dias de estudante nos Estados Unidos. Vi então, com olhos de adolescente ainda um tanto menino, maravilhas que só para os meninos têm plenitude de encanto. Em 1954, revendo “o maior circo do mundo”, confesso que, diante de certas façanhas de acrobatas e domadores, senti-me outra vez menino.
O monstro – porque é um circo-monstro, que viaja em três vastos trens – chegou de manhã a Charlottesville e partiu à noite. Ao som das últimas palmas dos espectadores juntou-se o ruído metálico do desmonte da tenda capaz de abrigar milhares de pessoas, acomodadas em cadeiras em forma de x, quase iguais às dos teatros e que, como por mágica, foram se fechando e formando grupos exatos, tantas cadeiras em cada grupo logo transportadas para outros vagões de um dos trens. E com as cadeiras, foram sendo transportadas para outros vagões jaulas com tigres; e também girafas e elefantes que ainda há pouco pareciam enraizados ao solo como se estivessem num jardim zoológico. A verdade é que quem demorasse uns minutos mais a sair veria esta mágica também de circo: a do próprio circo gigante desaparecer sob seus olhos, sob a forma de pacotes prontos a seguirem de trem para a próxima cidade.
O gênio de organização dos anglo-americanos é qualquer coisa de assombrar um latino. Arma e desarma um circo gigante como se armasse ou desarmasse um brinquedo de criança. E o que o faz com os circos, faz com os edifícios, as pontes, as usinas, as fábricas: uma vez planejadas, erguem-se em pouco tempo do solo e tomam como por mágica relevos monumentais.
Talvez a maior originalidade do circo esteja no seu palhaço principal. Circo norte-americano? Pensa-se logo num palhaço para fazer rir meninos de dez anos e meninões de quarenta com suas piruetas e suas infantilidades.
O desse circo – hoje o mais célebre dos palhaços de circo – é uma espécie de antipalhaço. Não ri nem sequer sorri. Não faz uma pirueta. Não dá um salto. Não escorrega uma única vez. Não cai esparramado no chão como os clowns convencionais. Não tem um ás de copas nos fundos de suas vestes de palhaço.
O que faz quase do princípio ao fim das funções do circo é olhar para a multidão com uns olhos, uma expressão, uns modos tão tristes que ninguém lhe esquece a tristeza do clown diferente de todos os outros clowns. Trata-se na verdade de uma audaciosa recriação da figura de palhaço de circo. E o curioso é que, impressionando os adultos, impressiona também os meninos que talvez continuem os melhores juízes de circos de cavalinhos.
Audaciosa e triunfante essa recriação. Pois não há quem saia do supercirco, juntando às suas impressões das maravilhas de acrobacia, de trabalhos de domadores de feras, de equilibristas, de bailarinas, de cantores, de cômicos, a impressão inesperada da tristeza desse antipalhaço que quase se limita a olhar para a multidão com os olhos mais magoados deste mundo.
FREYRE, Gilberto. In: Pessoas, Coisas & Animais. São Paulo: Círculo do Livro.
Edição Especial para MPM Propaganda, 1979. p. 221-222. (Publicado originalmente em O Cruzeiro, Rio de Janeiro, seção Pessoas, coisas e animais, em 8 jul. 1956). Adaptado.
Os trechos de “Em 1954 [...] encanto” e “O gênio de organização [...] monumentais.” caracterizam-se, quanto ao tipo de texto predominante, por serem, respectivamente
Provas
Questão presente nas seguintes provas
1598602
Ano: 2011
Disciplina: Engenharia de Produção
Banca: CESGRANRIO
Orgão: BR Distribuidora
Disciplina: Engenharia de Produção
Banca: CESGRANRIO
Orgão: BR Distribuidora
Provas:
A Ciência Econômica busca administrar recursos com a finalidade de promover o bem-estar social.
A questão fundamental a ser estudada pela Economia é
Provas
Questão presente nas seguintes provas
Considere as informações a seguir para responder à questão.
Considere uma dosimetria correspondendo a 200% do limite de tolerância decorrente de uma exposição a sons intensos por 1 hora no deslocamento de terra para o local de trabalho em uma plataforma de petróleo, em alto mar. Foi utilizado corretamente o EPI, com uma atenuação de 18 dB, e a jornada de trabalho desse trabalhador, depois de chegar à plataforma, é de 8 horas diárias, com dose equivalente a 79 dB.
O nível sonoro registrado pelo audiodosímetro, em dB, para os 200% e o tempo de repouso auditivo necessário, em local silencioso, fora do ambiente de trabalho, para que o trabalhador possa assumir suas atividades são, respectivamente,
Provas
Questão presente nas seguintes provas
A configuração e a instalação de equipamentos para uso em redes sem fio seguem critérios e padrões de modo a garantir o funcionamento correto das aplicações que as utilizem.
Um desses critérios é a(o)
Provas
Questão presente nas seguintes provas
Cadernos
Caderno Container