Foram encontradas 328 questões.
Provas
Provas
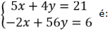
A solução do seguinte sistema linear
é:
Provas
Considere as seguintes
matrizes:
, a
solução de C x B + A é:
Provas
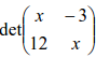
O valor real de x na matriz de ordem 2 x 2 para que
= 45 é:
Provas
O gráfico na imagem abaixo representa a função g(x) :
→
, definida por:

Provas
A solução do sistema linear 
Provas
Considere os conjuntos definidos por:
A = { x ∈
- 3 ≤ x < 5 }
B = { x ∈
4 ≤ x < 7 }
C = { x ∈
x > 2 }
A alternativa correta para a solução da operação de ((A ∪ B ) ∩ C ) é:
Provas
Provas

Analise as seguintes propostas de alteração de palavras e expressões do texto:
I. Substituição de ‘preenchidos’ (l. 04) por ‘completados’.
II. Substituição de ‘muita gente’ (l. 22) por ‘todas as pessoas’.
III. Supressão de ‘não’ (l. 40).
Quais causam alteração no sentido, desconsiderando eventuais mudanças sintáticas?
Provas
Caderno Container