Magna Concursos

Foram encontradas 450 questões.

578058 Ano: 2014
Disciplina: Economia
Banca: CESPE / CEBRASPE
Orgão: CADE
Provas:
Com relação à estrutura tributária brasileira, julgue o item subsecutivo.
Impostos sobre bens e serviços, por terem alíquotas progressivas, tendem a penalizar majoritariamente a parcela mais rica da população.
 

Provas

Questão presente nas seguintes provas
578057 Ano: 2014
Disciplina: Economia
Banca: CESPE / CEBRASPE
Orgão: CADE
Provas:
Julgue o item a seguir acerca de câmbio, blocos econômicos, organismos multilaterais e fluxos financeiros internacionais.
Os fluxos financeiros são afetados por expectativas e políticas cambiais e monetárias das diferentes economias. Por isso, quando a taxa de juros de um país é superior às taxas de juros dos demais países, espera-se por um fluxo negativo de recursos em direção ao país com taxa de juros mais elevada.
 

Provas

Questão presente nas seguintes provas
578056 Ano: 2014
Disciplina: Economia
Banca: CESPE / CEBRASPE
Orgão: CADE
Provas:
Acerca das estratégias empresariais e dos modelos de concorrência, julgue o próximo item.
Um cartel tende a ser duradouro se a demanda pelo seu produto for expressa por uma curva horizontal.
 

Provas

Questão presente nas seguintes provas
578055 Ano: 2014
Disciplina: Economia
Banca: CESPE / CEBRASPE
Orgão: CADE
Provas:
Sabendo-se que o Índice de Desenvolvimento Humano (IDH) do Brasil seja de 0,730 e que o da Colômbia seja de 0,719, julgue o item subsequente.
Segundo os dados apresentados, o Brasil apresenta nível de bem-estar social inferior ao da Colômbia.
 

Provas

Questão presente nas seguintes provas
578054 Ano: 2014
Disciplina: Economia
Banca: CESPE / CEBRASPE
Orgão: CADE
Provas:
A economia do setor público é o pilar econômico que permite a compreensão das atividades governamentais, em particular no que se refere às finanças públicas. Em relação a esse assunto, julgue o item que se segue. Nesse sentido, considere que a sigla NFSP, sempre que for utilizada, se refere a Necessidade de Financiamento do Setor Público.
Resultado primário é o equilíbrio entre as receitas e as despesas totais, o que equivale ao conceito de NFSP. Ao utilizar o método abaixo da linha, o resultado primário representa a variação total da dívida fiscal líquida no período.
 

Provas

Questão presente nas seguintes provas
578053 Ano: 2014
Disciplina: Economia
Banca: CESPE / CEBRASPE
Orgão: CADE
Provas:
A economia do setor público é o pilar econômico que permite a compreensão das atividades governamentais, em particular no que se refere às finanças públicas. Em relação a esse assunto, julgue o item que se segue. Nesse sentido, considere que a sigla NFSP, sempre que for utilizada, se refere a Necessidade de Financiamento do Setor Público.
O estado democrático depende diretamente de suas instituições, as quais estão inseridas e dependem da estrutura econômica e social do país, bem como de seu sistema cultural.
 

Provas

Questão presente nas seguintes provas
578052 Ano: 2014
Disciplina: Economia
Banca: CESPE / CEBRASPE
Orgão: CADE
Provas:
Acerca da evolução do déficit e da dívida pública brasileira, julgue o próximo item.
A relação dívida sobre PIB do Brasil é superior a de países desenvolvidos, como França e Japão.
 

Provas

Questão presente nas seguintes provas
578051 Ano: 2014
Disciplina: Economia
Banca: CESPE / CEBRASPE
Orgão: CADE
Provas:
Com relação aos planos econômicos do Brasil, julgue o item que se segue.
Com o Plano Real, lançou-se previamente a Unidade Real de Valor (URV) com o objetivo de alinhar os preços e reduzir as possibilidades de fracasso, à semelhança dos planos econômicos anteriores.
 

Provas

Questão presente nas seguintes provas
578050 Ano: 2014
Disciplina: Economia
Banca: CESPE / CEBRASPE
Orgão: CADE
Provas:
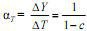
Acerca da teoria keynesiana, das políticas fiscal e monetária e do mercado de trabalho, julgue o item subsequente.
O multiplicador keynesiano indica que, toda vez que ocorre aumento da demanda agregada autônoma, haverá aumento mais que proporcional na renda da economia. Considerando-se os componentes autônomos, é correto afirmar que o multiplicador dos tributos corresponde à equação enunciado 578050-1, em que Y é a renda total, T os tributos e c a propensão marginal a consumir.
 

Provas

Questão presente nas seguintes provas
578049 Ano: 2014
Disciplina: Economia
Banca: CESPE / CEBRASPE
Orgão: CADE
Provas:
Em uma estrutura de mercado, as empresas A e B produzem mercadorias homogêneas; e, nessa circunstância, P(Q) = 70 – Q é a representação da curva de demanda, na qual Q é a produção total das duas empresas. Cada empresa tem conhecimento do custo marginal da outra, e os custos totais dessas empresas são: CTenunciado 578049-1 = 10 × Q + 2 e CTenunciado 578049-2 = 30 × Q + 1.

A respeito dessa estrutura, julgue o item seguinte.
Se ambas as empresas decidirem, simultaneamente, as quantidades a serem produzidas, então as quantidades de equilíbrio, Qenunciado 578049-3* e Qenunciado 578049-4*, associadas às empresas A e B serão, respectivamente, Qenunciado 578049-5* = enunciado 578049-6 e Qenunciado 578049-7* = enunciado 578049-8 .
 

Provas

Questão presente nas seguintes provas