Foram encontradas 1.182 questões.
Uma usina de geração de energia elétrica que transforme a
queima de combustível fóssil em aquecimento, aquecimento em
vapor, vapor em pressão, pressão em movimento, e movimento
em eletricidade a 50 Hz não poderá ser conectada a uma rede
elétrica que opera a 60 Hz sem a presença de conversores de
frequência, pois
I redes elétricas de corrente contínua exigem que se instalem conversores de frequência.
II deve haver a mesma frequência nominal e a mesma sequência de fases entre a usina e a rede elétrica.
III o ideal seria sempre converter 60 Hz em 50 Hz, e não o contrário.
Assinale a opção correta.
I redes elétricas de corrente contínua exigem que se instalem conversores de frequência.
II deve haver a mesma frequência nominal e a mesma sequência de fases entre a usina e a rede elétrica.
III o ideal seria sempre converter 60 Hz em 50 Hz, e não o contrário.
Assinale a opção correta.
Provas
Questão presente nas seguintes provas
Em uma hidrelétrica, a energia é gerada por meio da conversão
de
Provas
Questão presente nas seguintes provas
No modelo centralizado de geração e distribuição de
fornecimento de energia elétrica, ao menos três etapas precisam
ser cumpridas para que possa ocorrer o consumo, sendo elas
Provas
Questão presente nas seguintes provas
Se, durante um episódio de ventania com chuva, um galho
encostar-se a um dos fios de uma rede elétrica trifásica de
distribuição, esse evento
Provas
Questão presente nas seguintes provas
O fluxo de potência ativa de uma fonte de energia elétrica para
uma carga resistiva pode ser determinado
I por meio da medição da corrente em série e da medição da tensão em paralelo à carga.
II por meio da medição da corrente em paralelo e da medição da tensão em série à carga.
III com o uso de um wattímetro.
Assinale a opção correta.
I por meio da medição da corrente em série e da medição da tensão em paralelo à carga.
II por meio da medição da corrente em paralelo e da medição da tensão em série à carga.
III com o uso de um wattímetro.
Assinale a opção correta.
Provas
Questão presente nas seguintes provas
Na análise de sistemas elétricos, a adoção de valores por unidade
(p.u.) leva à possibilidade técnica
I de adoção de valores nominais como referências para cálculos e comparações.
II de referenciação dos componentes que estão em paralelo como se estivessem em série.
III de se desprezarem erros grosseiros.
Assinale a opção correta.
I de adoção de valores nominais como referências para cálculos e comparações.
II de referenciação dos componentes que estão em paralelo como se estivessem em série.
III de se desprezarem erros grosseiros.
Assinale a opção correta.
Provas
Questão presente nas seguintes provas
Uma importante aplicação da eletrônica de potência é a
conversão de corrente contínua (CC) para corrente alternada
(CA). Acerca dessa conversão, assinale a opção correta.
Provas
Questão presente nas seguintes provas
No que se refere aos tiristores SCR e TRIAC, assinale a opção
correta.
Provas
Questão presente nas seguintes provas
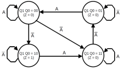
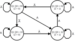
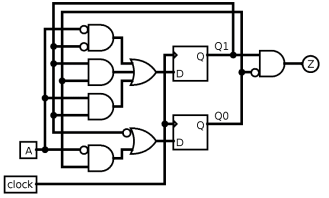
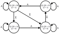
Considerando a máquina de estados síncrona apresentada na figura precedente, assinale a opção que corresponde ao diagrama de estados que descreve o comportamento dessa máquina.
Provas
Questão presente nas seguintes provas
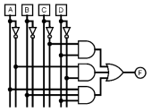
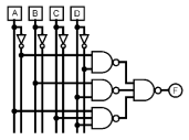
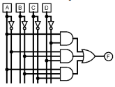
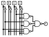
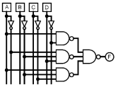
| A | B | C | D | Y |
|---|---|---|---|---|
| 0 | 0 | 0 | 0 | 1 |
| 0 | 0 | 0 | 1 | 0 |
| 0 | 0 | 1 | 0 | 1 |
| 0 | 0 | 1 | 1 | 0 |
| 0 | 1 | 0 | 0 | 1 |
| 0 | 1 | 0 | 1 | 1 |
| 0 | 1 | 1 | 0 | 1 |
| 0 | 1 | 1 | 1 | 1 |
| 1 | 0 | 0 | 0 | 0 |
| 1 | 0 | 0 | 1 | 0 |
| 1 | 0 | 1 | 0 | 0 |
| 1 | 0 | 1 | 1 | 1 |
| 1 | 1 | 0 | 0 | 0 |
| 1 | 1 | 0 | 1 | 1 |
| 1 | 1 | 1 | 0 | 0 |
| 1 | 1 | 1 | 1 | 1 |
Assinale a opção em que está apresentado o circuito combinacional que implementa corretamente a função Y, cuja tabela-verdade está apresentada no quadro precedente.
Provas
Questão presente nas seguintes provas
Cadernos
Caderno Container