Magna Concursos

Foram encontradas 256 questões.

3448099 Ano: 2024
Disciplina: Informática
Banca: IDESG
Orgão: Câm. Areal-RJ
A imagem abaixo mostra uma planilha feita no Excel 2016 (em sua versão em português e nas configurações padrão), com alguns dados inseridos.
Enunciado 3448099-1
Na célula B13 foi inserida a fórmula =CONT.NÚM(B2:B11)
Qual o resultado apareceu na célula B13 após a célula ser inserida?
 

Provas

Questão presente nas seguintes provas
3448098 Ano: 2024
Disciplina: Informática
Banca: IDESG
Orgão: Câm. Areal-RJ
O que acontece em um documento do Excel/2016 (em sua versão em português e nas configurações padrão) quando as teclas de atalho “Ctrl” + “0” (zero) são pressionadas simultaneamente?
 

Provas

Questão presente nas seguintes provas
3448097 Ano: 2024
Disciplina: Informática
Banca: IDESG
Orgão: Câm. Areal-RJ
Em um plano de backup robusto e eficaz, é essencial incluir diferentes tipos de backups e estratégias de armazenamento. Qual das seguintes afirmações sobre procedimentos de backup está INCORRETA?
 

Provas

Questão presente nas seguintes provas
3448096 Ano: 2024
Disciplina: Informática
Banca: IDESG
Orgão: Câm. Areal-RJ
João é Assistente Legislativo na Câmara Municipal e precisa criar um documento oficial utilizando o Microsoft Word 2016 (em sua versão em português e nas configurações padrão). Ele quer saber como inserir uma tabela no documento. Qual é o procedimento correto para inserir uma tabela no Microsoft Word 2016?
 

Provas

Questão presente nas seguintes provas
3448095 Ano: 2024
Disciplina: Informática
Banca: IDESG
Orgão: Câm. Areal-RJ
A figura a seguir mostra uma frase escrita no Word 2016 (em sua versão em português e nas configurações padrão).

Enunciado 3448095-1

Observando essa frase, podemos afirmar que a palavra “vida” teve as seguintes formatações:
 

Provas

Questão presente nas seguintes provas
3448094 Ano: 2024
Disciplina: Matemática
Banca: IDESG
Orgão: Câm. Areal-RJ
A Assessora de Comunicação Ana precisa calcular a proporção entre os diferentes meios de comunicação usados na divulgação de uma campanha. Se ela usou 60% do orçamento em redes sociais, 25% em mídia impressa e o restante em rádio, qual é a razão entre o valor gasto em redes sociais e o valor gasto em rádio?
 

Provas

Questão presente nas seguintes provas
3448093 Ano: 2024
Disciplina: Matemática
Banca: IDESG
Orgão: Câm. Areal-RJ
Em uma sessão da Câmara Municipal, o Agente Legislativo Marcos está organizando uma votação para decidir sobre a construção de um novo centro comunitário. Ele planeja a votação em três etapas para garantir que todos os votos sejam contabilizados corretamente. Marcos recebeu um total de 180 votos ao final da contagem. Na primeira etapa, ele contabilizou 60 votos. Na segunda etapa, ele contabilizou mais 70 votos. Quantos votos ele contabilizou na terceira etapa?
 

Provas

Questão presente nas seguintes provas
3448092 Ano: 2024
Disciplina: Raciocínio Lógico
Banca: IDESG
Orgão: Câm. Areal-RJ
O Técnico em Contabilidade Ricardo está organizando os funcionários da Câmara em conjuntos conforme suas habilidades. Se A = {Assistentes, Secretários} e B = {Técnicos, Motoristas}, quais são os elementos da união dos conjuntos A e B?
 

Provas

Questão presente nas seguintes provas
3448091 Ano: 2024
Disciplina: Matemática
Banca: IDESG
Orgão: Câm. Areal-RJ
Em um triângulo PQR foi inscrito um quadrado WXYZ, com o lado WX sobre o lado PR.
Sabe-se que o lado PR mede 30 cm e a altura do triângulo relativa ao lado PR mede 20 cm. Podemos afirmar que:
 

Provas

Questão presente nas seguintes provas
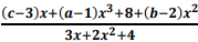
3448090 Ano: 2024
Disciplina: Matemática
Banca: IDESG
Orgão: Câm. Areal-RJ
Considerando que a expressão Enunciado 3448090-1 seja independente na variável x, então podemos afirmar que:
 

Provas

Questão presente nas seguintes provas