Foram encontradas 270 questões.
Jair, técnico de informática em uma empresa de
desenvolvimento de software, está organizando
os arquivos de backup do servidor. Ele percebe
que um dos diretórios ocupa 3.072 MB e precisa
informar ao gestor o tamanho aproximado desse
diretório em gigabytes (GB), utilizando o sistema
de medidas usual em informática, onde:
1 GB = 1024 MB. Com base nessas
informações, qual é o tamanho do diretório em
gigabytes?
Assinale a alternativa correta.
Assinale a alternativa correta.
Provas
Questão presente nas seguintes provas
Qual é o perímetro do triângulo PQR, retângulo
em P, sabendo que um dos catetos é dado por
PQ = x + 3, o outro por PR = x − 2 e a
hipotenusa por QR = x + 8?
Assinale a alternativa correta.
Assinale a alternativa correta.
Provas
Questão presente nas seguintes provas
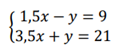
Considere o sistema de equações do primeiro
grau abaixo:
Assinale a alternativa que apresenta os valores corretos de x e y, respectivamente, que resolvem o sistema acima.
Assinale a alternativa que apresenta os valores corretos de x e y, respectivamente, que resolvem o sistema acima.
Provas
Questão presente nas seguintes provas
4044363
Ano: 2026
Disciplina: Matemática Financeira
Banca: Avança SP
Orgão: Câm. Francisco Morato-SP
Disciplina: Matemática Financeira
Banca: Avança SP
Orgão: Câm. Francisco Morato-SP
Provas:
Roberto aplicou R$ 18.350,00 em um
investimento que rende juros simples a uma certa
taxa ao ano. Após 6 anos, Roberto pretende
retirar o montante.
Considerando o contexto acima, utilize as afirmativas a seguir como parte integrante da resolução, identifique quais são verdadeiras ou falsas e, em seguida, assinale a alternativa correta correspondente:
I. Adotando que a taxa de juros simples aplicada seja de 5% ao ano.
II. Adotando que a taxa de juros simples aplicada seja de 11% ao ano.
III. O montante obtido foi de R$ 30.461,00.
IV. O montante obtido foi de R$ 24.000,00.
Considerando o contexto acima, utilize as afirmativas a seguir como parte integrante da resolução, identifique quais são verdadeiras ou falsas e, em seguida, assinale a alternativa correta correspondente:
I. Adotando que a taxa de juros simples aplicada seja de 5% ao ano.
II. Adotando que a taxa de juros simples aplicada seja de 11% ao ano.
III. O montante obtido foi de R$ 30.461,00.
IV. O montante obtido foi de R$ 24.000,00.
Provas
Questão presente nas seguintes provas
Considere os números 729 e 6561. Assinale a
alternativa que apresenta corretamente o Mínimo
Múltiplo Comum (MMC) desses dois números.
Provas
Questão presente nas seguintes provas
4044361
Ano: 2026
Disciplina: Design Gráfico
Banca: Avança SP
Orgão: Câm. Francisco Morato-SP
Disciplina: Design Gráfico
Banca: Avança SP
Orgão: Câm. Francisco Morato-SP
Provas:
Na fotografia digital, a profundidade de campo é
diretamente influenciada por um conjunto de
fatores técnicos. A combinação que tende a
ampliar a profundidade de campo é:
Provas
Questão presente nas seguintes provas
Assinale a alternativa que completa corretamente a lacuna, de acordo com o Código de Ética dos Jornalistas Brasileiros:
O jornalista não pode divulgar informações obtidas por meios inadequados, como o uso de identidades falsas ou equipamentos ocultos, salvo em casos de __________ e quando esgotadas outras possibilidades de apuração.
Provas
Questão presente nas seguintes provas
4044359
Ano: 2026
Disciplina: Direito Civil
Banca: Avança SP
Orgão: Câm. Francisco Morato-SP
Disciplina: Direito Civil
Banca: Avança SP
Orgão: Câm. Francisco Morato-SP
Provas:
A produção e a difusão de conteúdos jornalísticos
e institucionais estão submetidos a limites
jurídicos relacionados aos direitos autorais e ao
direito de imagem. A partir disso, analise as
assertivas a seguir.
I. A proteção aos direitos autorais existe independentemente de registro formal da obra.
II. A utilização de obra intelectual por modalidades como reprodução, edição, adaptação, tradução ou armazenamento em computador, em regra, depende de autorização prévia do autor.
III. A transcrição, em imprensa diária ou periódica, de notícia ou de artigo informativo anteriormente publicado pode ocorrer sem caracterizar ofensa, desde que se indique a autoria quando houver assinatura e a fonte de onde foi transcrito.
IV. Paródias e paráfrases são admitidas quando não constituem reprodução da obra originária e não lhe acarretam descrédito.
Assinale a alternativa que indica o conjunto de assertivas corretas.
I. A proteção aos direitos autorais existe independentemente de registro formal da obra.
II. A utilização de obra intelectual por modalidades como reprodução, edição, adaptação, tradução ou armazenamento em computador, em regra, depende de autorização prévia do autor.
III. A transcrição, em imprensa diária ou periódica, de notícia ou de artigo informativo anteriormente publicado pode ocorrer sem caracterizar ofensa, desde que se indique a autoria quando houver assinatura e a fonte de onde foi transcrito.
IV. Paródias e paráfrases são admitidas quando não constituem reprodução da obra originária e não lhe acarretam descrédito.
Assinale a alternativa que indica o conjunto de assertivas corretas.
Provas
Questão presente nas seguintes provas
É comum que o público confie em notícias
veiculadas pela imprensa mesmo sem confirmar
pessoalmente as informações divulgadas. No
jornalismo, isso ocorre:
Provas
Questão presente nas seguintes provas
4044357
Ano: 2026
Disciplina: Direito Administrativo
Banca: Avança SP
Orgão: Câm. Francisco Morato-SP
Disciplina: Direito Administrativo
Banca: Avança SP
Orgão: Câm. Francisco Morato-SP
Provas:
A partir da Constituição Federal de 1988, a ética
passou a integrar o núcleo axiológico da
Administração Pública brasileira, não como
valor autônomo dissociado da legalidade, mas
como:
Provas
Questão presente nas seguintes provas
Cadernos
Caderno Container