Foram encontradas 40 questões.
Observe a imagem a seguir.

Disponível em: <https://plantaomorrinhos.com.br/monumento-da-2-guerramundial-passa-despercebido-em-morrinhos/>. Acesso em: 28 dez. 2024.
A fotografia mostra uma placa que fica em uma praça do município de Morrinhos. Trata-se de uma homenagem aos morrinhenses que participaram da Segunda Guerra Mundial e cuja função é

Disponível em: <https://plantaomorrinhos.com.br/monumento-da-2-guerramundial-passa-despercebido-em-morrinhos/>. Acesso em: 28 dez. 2024.
A fotografia mostra uma placa que fica em uma praça do município de Morrinhos. Trata-se de uma homenagem aos morrinhenses que participaram da Segunda Guerra Mundial e cuja função é
Provas
Questão presente nas seguintes provas
Leia o texto a seguir.
O processo de urbanização do território goiano está ligado à volatilidade dos processos de povoamento do território, fato que promoveu uma urbanização inicial imprecisa e pontual, se configurando, desde seus períodos, com a mesma imprecisão da ordem socioeconômica a que estava ligada.
SANTOS, Jéssica Nayara Dias Reis; SILVA, Fernando Carlos Alves da. Análise das fases de urbanização do território goiano: uma resposta à atual configuração urbana de Goiás. Revista OKARA: Geografia em debate, v. 10, n.1, 2016, p. 97.
Os séculos XVIII e XIX são marcados pelos seguintes fatores de produção territorial e urbanização no estado de Goiás:
O processo de urbanização do território goiano está ligado à volatilidade dos processos de povoamento do território, fato que promoveu uma urbanização inicial imprecisa e pontual, se configurando, desde seus períodos, com a mesma imprecisão da ordem socioeconômica a que estava ligada.
SANTOS, Jéssica Nayara Dias Reis; SILVA, Fernando Carlos Alves da. Análise das fases de urbanização do território goiano: uma resposta à atual configuração urbana de Goiás. Revista OKARA: Geografia em debate, v. 10, n.1, 2016, p. 97.
Os séculos XVIII e XIX são marcados pelos seguintes fatores de produção territorial e urbanização no estado de Goiás:
Provas
Questão presente nas seguintes provas
Observe a imagem a seguir.

Disponível em: <https://memorialdaindustriago.com.br/memorial/timeline/aindustrializacao-de-goias-e-seus-primordios>. Acesso em: 27 dez. 2024.
A imagem corresponde ao período do início da industrialização no estado de Goiás, registrando a implantação do transporte
Provas
Questão presente nas seguintes provas
Leia as notícias a seguir.
Goiás é o quinto estado onde a pobreza mais cresceu, segundo um estudo da Fundação Getúlio Vargas (FGV) divulgado este mês. O levantamento aponta que de cada 100 goianos, 24 estão na faixa da pobreza. A pandemia de Covid-19 é um dos principais fatores para esse cenário (Publicado em 31 de agosto de 2021).
Disponível em: <https://g1.globo.com/go/goias/noticia/2021/08/31/goias-e-o5o-estado-com-maior-aumento-na-pobreza-segundo-estudo-da-fgv.ghtml>. Acesso em: 27 dez. 2024.
O cenário econômico do Estado de Goiás superou os índices do País, segundo dados do Instituto Brasileiro de Geografia e Estatística (IBGE). A desigualdade social caiu, a renda média per capita dos goianos foi maior que a dos brasileiros – pela primeira vez na série histórica –, o índice de desemprego foi o menor dos últimos nove anos e o número de pessoas em pobreza e extrema pobreza foi reduzido (Publicado em 22 maio de 2023).
Disponível em: <https://goias.gov.br/governo/renda-media-dos-goianossupera-pela-primeira-vez-a-renda-media-nacional-destaca-caiado/>. Acesso em: 27 dez. 2024.
As notícias permitem concluir que, em relação à desigualdade social em Goiás, nos últimos anos, ocorreu um processo de
Goiás é o quinto estado onde a pobreza mais cresceu, segundo um estudo da Fundação Getúlio Vargas (FGV) divulgado este mês. O levantamento aponta que de cada 100 goianos, 24 estão na faixa da pobreza. A pandemia de Covid-19 é um dos principais fatores para esse cenário (Publicado em 31 de agosto de 2021).
Disponível em: <https://g1.globo.com/go/goias/noticia/2021/08/31/goias-e-o5o-estado-com-maior-aumento-na-pobreza-segundo-estudo-da-fgv.ghtml>. Acesso em: 27 dez. 2024.
O cenário econômico do Estado de Goiás superou os índices do País, segundo dados do Instituto Brasileiro de Geografia e Estatística (IBGE). A desigualdade social caiu, a renda média per capita dos goianos foi maior que a dos brasileiros – pela primeira vez na série histórica –, o índice de desemprego foi o menor dos últimos nove anos e o número de pessoas em pobreza e extrema pobreza foi reduzido (Publicado em 22 maio de 2023).
Disponível em: <https://goias.gov.br/governo/renda-media-dos-goianossupera-pela-primeira-vez-a-renda-media-nacional-destaca-caiado/>. Acesso em: 27 dez. 2024.
As notícias permitem concluir que, em relação à desigualdade social em Goiás, nos últimos anos, ocorreu um processo de
Provas
Questão presente nas seguintes provas
Leia o texto a seguir.
As lutas no campo em Goiás quase sempre se vinculam às lutas nacionais, especialmente a partir de 1955, quando as Ligas Camponesas estabelecem o seu projeto de Reforma Agrária por meio da perspectiva revolucionária, com forte influência da Revolução Cubana, e com a criação dos campos de treinamento de guerrilha.
MUNDIM, Luiz Felipe. A experiência dos movimentos sociais em Goiás: questões iniciais para um breve balanço historiográfico (1950-1984). In: XVI Encontro Nacional da ABET, 2019, Salvador - BA. Anais do XVI Encontro Nacional da ABET, 2019. p. 10.
Um desses movimentos, de 1954 a 1957, foi gerado pela ação de um grupo de grileiros que, através de diversas formas de violência e intimidação, expulsavam os camponeses de suas terras numa região onde hoje encontra-se o norte goiano. Trata-se
As lutas no campo em Goiás quase sempre se vinculam às lutas nacionais, especialmente a partir de 1955, quando as Ligas Camponesas estabelecem o seu projeto de Reforma Agrária por meio da perspectiva revolucionária, com forte influência da Revolução Cubana, e com a criação dos campos de treinamento de guerrilha.
MUNDIM, Luiz Felipe. A experiência dos movimentos sociais em Goiás: questões iniciais para um breve balanço historiográfico (1950-1984). In: XVI Encontro Nacional da ABET, 2019, Salvador - BA. Anais do XVI Encontro Nacional da ABET, 2019. p. 10.
Um desses movimentos, de 1954 a 1957, foi gerado pela ação de um grupo de grileiros que, através de diversas formas de violência e intimidação, expulsavam os camponeses de suas terras numa região onde hoje encontra-se o norte goiano. Trata-se
Provas
Questão presente nas seguintes provas
Ao preparar uma receita de pão, um padeiro pegou
canecas de farinha e verificou, por meio de uma balança,
que isso equivalia a 728 g de farinha. Com base nessa
informação, a quantidade de gramas de farinha que uma
caneca comporta é, aproximadamente,
Provas
Questão presente nas seguintes provas
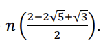
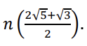
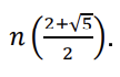
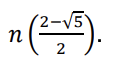
Observe a figura a seguir.

Provas
Questão presente nas seguintes provas
Em uma pesquisa eleitoral, uma porcentagem do total de
eleitores entrevistados escolheu o candidato A. Tal
porcentagem é a mesma quando se compara à quantidade
de mulheres eleitoras de A com o total de eleitores deste
candidato, nessa mesma pesquisa. Sabendo que 2,89% do
total de eleitores entrevistados corresponde às mulheres
eleitoras do candidato A, qual porcentagem do total de
eleitores entrevistados escolheu este candidato?
Provas
Questão presente nas seguintes provas
Um saco de cimento de 50 kg contém calcário, argila, gesso
e óxidos (de alumínio e de ferro). A quantidade de argila é o
quíntuplo da quantidade dos óxidos. A quantidade de gesso
é um sexto da de calcário. E a quantidade de calcário é o
dobro da quantidade de argila e óxidos juntos. A diferença
entre a quantidade de calcário e de gesso é, em
quilogramas,
Provas
Questão presente nas seguintes provas
Os três primeiros termos de uma progressão aritmética são
os seguintes: (x + 7, 2x − 10, 3x − 27), com x ∈ R. Com
base nessas informações, o 20º termo dessa progressão é
dado por
Provas
Questão presente nas seguintes provas
Cadernos
Caderno Container