Magna Concursos

Foram encontradas 730 questões.

376181 Ano: 2014
Disciplina: Engenharia Civil
Banca: FGV
Orgão: Câm. Recife-PE
Provas:

Uma obra de pavimentação precisa de 4.800 m3 de aterro. Após a caracterização do material da jazida, verificou-se que o empolamento era de 0,80 e o grau de compactabilidade de 0,75.

Sabendo-se que serão utilizados 20 caminhões basculantes de 10,00 m3 para transportar todo volume solto, serão necessárias:

 

Provas

Questão presente nas seguintes provas
376180 Ano: 2014
Disciplina: Engenharia Civil
Banca: FGV
Orgão: Câm. Recife-PE
Provas:

Para execução de 1 m2 de parede de alvenaria de tijolo cerâmico furado de 10 x 20 x 20 cm com argamassa de cimento e areia, são consumidos: 2,25 h de pedreiro, 1,00 h de servente, 25 tijolos e 0,015 m3 de argamassa de cimento e areia.

A tabela abaixo mostra os custos desses insumos, incluindo os encargos sociais:

Item

Custo

Tijolo

R$ 2,90 / un

Argamassa de cimento e areia

R$ 320,00 / m3

Servente

R$ 5,00 / h

Pedreiro

R$ 16, 00/ h

Considerando-se um DBI nulo, o custo unitário total desse serviço, incluindo materiais e mão-de-obra, é:

 

Provas

Questão presente nas seguintes provas
376179 Ano: 2014
Disciplina: Contabilidade Geral
Banca: FGV
Orgão: Câm. Recife-PE
Provas:

A auditora fiscal Maria Ligadona fez uma pesquisa no município de Arroio Abaixo e verificou que empresas que ficam com o índice de liquidez corrente abaixo de 1,00 por seis meses deixam de recolher os impostos em dia.

Ao solicitar o balancete da empresa Lisada Ltda., ela encontrou a seguinte situação:

LISADA LTDA - BALANCETE

R$

DESPESAS ANTECIPADAS

3.000

INTANGÍVEL

9.000

APLICAÇÕES FINANCEIRAS

11.000

SALARIOS E ENCARGOS SOCIAIS A PAGAR

12.000

PROVISÃO PARA AJUSTE DE REALIZAÇÃO DE ESTOQUES

13.000

DEPOSITOS JUDICIAIS

16.000

RESERVAS DE LUCRO

16.000

ESTOQUE DE MATÉRIA PRIMA

17.000

CONTAS A PAGAR

23.000

EMPRÉSTIMOS DE LONGO PRAZO

25.000

EMPRÉSTIMOS DE CURTO PRAZO

27.000

CAPITAL SOCIAL

31.000

CONTAS A RECEBER

31.000

CAIXA E BANCOS

31.000

AJUSTE DE AVALIAÇÃO PATRIMONIAL

33.000

ADIANTAMENTO A FORNECEDORES

34.000

IMOBILIZADO

34.000

ESTOQUE DE PRODUTOS ACABADOS

34.000

INVESTIMENTOS EM COLIGADAS

35.000

IMPOSTOS A RECOLHER

43.000

EMPRESTIMOS CONCEDIDOS A DIRETORES

48.000

Com base nessas informações, o índice de liquidez corrente da empresa é:

 

Provas

Questão presente nas seguintes provas
376178 Ano: 2014
Disciplina: Engenharia Civil
Banca: FGV
Orgão: Câm. Recife-PE
Provas:

Um serviço de terraplenagem foi executado com a equipe de máquinas mostrada na tabela abaixo, que também apresenta a quantidade empregada e a utilização de cada equipamento.

Equipamento

Quantidade

Utilização

produtiva

Utilização improdutiva

Trator de esteira

1

1

0

Motoniveladora

3

0,6

0,4

Motoscraper

3

0,3

0,7

Os equipamentos de um mesmo tipo possuem a mesma produtividade.

Sabendo-se que a produtividade do trator de esteira foi de 90 m3 /hora, a produtividade máxima de um motoscraper é:

 

Provas

Questão presente nas seguintes provas
376177 Ano: 2014
Disciplina: Contabilidade Geral
Banca: FGV
Orgão: Câm. Recife-PE
Provas:
Considere as seguintes operações de uma empresa nacional:
- 05/05/X1: Compra de mercadorias no exterior por US$ 1.000,00;
- 25/06/X1: Recebimento das mercadorias importadas adquiridas;
- 02/07/X1: Pagamento de 50% do valor do valor ao fornecedor do exterior.
Cotações do dólar:
05/05/X1: R$ 1,50
25/06/X1: R$ 2,00
02/07/X1: R$ 2,50
Utilizando apen as as informações acima, assinale a alternativa que representa o impacto no patrimônio da empresa até 02/07/X1:
 

Provas

Questão presente nas seguintes provas
376176 Ano: 2014
Disciplina: Engenharia Civil
Banca: FGV
Orgão: Câm. Recife-PE
Provas:

O aterro de uma obra de terraplenagem recebe material de cinco jazidas diferentes, com os quantitativos e distâncias de transporte dados pela tabela abaixo.

Jazida

Quantidade de material (m3)

Distância média (km)

J1

2.500

6

J2

5.000

4

J3

2.000

5

J4

3.500

2

J5

6.000

4

O valor da distância média de transporte é:

 

Provas

Questão presente nas seguintes provas
376175 Ano: 2014
Disciplina: Engenharia Civil
Banca: FGV
Orgão: Câm. Recife-PE
Provas:

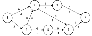
Considerando a PERT/CPM mostrada anteriormente, a folga da atividade A do projeto é:

 

Provas

Questão presente nas seguintes provas
376174 Ano: 2014
Disciplina: Engenharia Civil
Banca: FGV
Orgão: Câm. Recife-PE
Provas:

Observe a rede PERT/CPM mostrada abaixo:

Enunciado 3356224-1

Nas setas, as letras (A até I) representam as atividades e os valores mostram a duração da atividade expressa em dias corridos. Os círculos mostram as incidências de início e término das atividades. O projeto se inicia no nó 1 e termina no nó 7.

De acordo com a rede PERT/CPM mostrada anteriormente, a sequência de atividades do caminho crítico do projeto é:
 

Provas

Questão presente nas seguintes provas
376173 Ano: 2014
Disciplina: Engenharia Civil
Banca: FGV
Orgão: Câm. Recife-PE
Provas:

A tabela abaixo apresenta a resposta de uma bacia hidrográfica à ação de uma precipitação total de 25 mm com duração de 1 h.

Enunciado 3356227-1

Sabendo-se que o coeficiente de escoamento superficial é de 0,6, se a bacia recebesse uma precipitação efetiva de 15 mm com duração de 1 hora, seguida de uma precipitação efetiva de 30 mm, com duração de 1 hora, o valor de pico horário observado na resposta, nessa mesma seção transversal, seria:

 

Provas

Questão presente nas seguintes provas
376172 Ano: 2014
Disciplina: Saúde Pública
Banca: FGV
Orgão: Câm. Recife-PE

O marco regulatório atual do mercado brasileiro de planos de saúde dificulta um dos mecanismos que poderiam ser utilizados pelas empresas operadoras de planos de saúde para redução de riscos operacionais - a chamada seleção de risco, pois, de acordo com a legislação:

 

Provas

Questão presente nas seguintes provas