Foram encontradas 226 questões.
253863
Ano: 2012
Disciplina: Serviços Gerais
Banca: CAIP-IMES
Orgão: Câm. São Caetano do Sul-SP
Disciplina: Serviços Gerais
Banca: CAIP-IMES
Orgão: Câm. São Caetano do Sul-SP
Provas:
Todo material de limpeza ou de gêneros alimentícios recebidos devem ser armazenados, tendo em vista o consumo diário. Na parte da frente devem ficar as mercadorias em embalagens:
Provas
Questão presente nas seguintes provas
Campanhas intensivas de combate à dengue têm sido veiculadas frequentemente e as repartições públicas também devem se engajar nessa tarefa. A propagação de insetos portadores da dengue geralmente se origina por falta de cuidados simples que consistem numa observação sistemática e tomada de providências necessárias.
Analise as medidas abaixo.
1 - Observar se há água parada em pratos de vasos, escoá-la e providenciar a colocação de areia nos pratos. 2 - Conservar pneus que estejam estocados, colocando-os protegidos, providenciando para que fiquem sempre secos. 3 - Verificar se há garrafas ou latas vazias abertas nos pátios descobertos, sujeitas a receber águas de chuva, e providenciar sua remoção.
Como medidas de prevenção de combate ao mosquito da dengue, o agente operacional bem informado, deve continuamente acatar as contidas em:
Analise as medidas abaixo.
1 - Observar se há água parada em pratos de vasos, escoá-la e providenciar a colocação de areia nos pratos. 2 - Conservar pneus que estejam estocados, colocando-os protegidos, providenciando para que fiquem sempre secos. 3 - Verificar se há garrafas ou latas vazias abertas nos pátios descobertos, sujeitas a receber águas de chuva, e providenciar sua remoção.
Como medidas de prevenção de combate ao mosquito da dengue, o agente operacional bem informado, deve continuamente acatar as contidas em:
Provas
Questão presente nas seguintes provas
253861
Ano: 2012
Disciplina: TI - Desenvolvimento de Sistemas
Banca: CAIP-IMES
Orgão: Câm. São Caetano do Sul-SP
Disciplina: TI - Desenvolvimento de Sistemas
Banca: CAIP-IMES
Orgão: Câm. São Caetano do Sul-SP
Provas:
Considere as seguintes afirmações abaixo.
I - Um Web Service é um componente, ou unidade lógica de aplicação, acessível através de protocolos padrões de Internet. Como componentes, esses serviços possuem uma funcionalidade que pode ser reutilizada sem a preocupação de como é implementada. O SOAP é um protocolo independente de plataforma e linguagem de programação para transmissão de mensagens e chamadas de procedimento remoto.
II - Ao se efetuar a modelagem de dados num banco de dados relacional, podemos afirmar que uma relação na segunda forma normal pode apresentar diversas chaves primárias, mas apenas uma chave candidata. Esta chave não pode ser chave estrangeira relacionada a outra tabela.
Pode-se afirmar que:
I - Um Web Service é um componente, ou unidade lógica de aplicação, acessível através de protocolos padrões de Internet. Como componentes, esses serviços possuem uma funcionalidade que pode ser reutilizada sem a preocupação de como é implementada. O SOAP é um protocolo independente de plataforma e linguagem de programação para transmissão de mensagens e chamadas de procedimento remoto.
II - Ao se efetuar a modelagem de dados num banco de dados relacional, podemos afirmar que uma relação na segunda forma normal pode apresentar diversas chaves primárias, mas apenas uma chave candidata. Esta chave não pode ser chave estrangeira relacionada a outra tabela.
Pode-se afirmar que:
Provas
Questão presente nas seguintes provas
253860
Ano: 2012
Disciplina: TI - Desenvolvimento de Sistemas
Banca: CAIP-IMES
Orgão: Câm. São Caetano do Sul-SP
Disciplina: TI - Desenvolvimento de Sistemas
Banca: CAIP-IMES
Orgão: Câm. São Caetano do Sul-SP
Provas:
Considere as seguintes afirmações abaixo.
I - A arquitetura de uma aplicação Web descreve a infraestrutura que permite a uma aplicação ou sistema baseado na Web, atingir seus objetivos de aplicação. Estas aplicações, em geral, devem ser construídas usando-se camadas em que diferentes preocupações são levadas em conta; em particular, os dados da aplicação devem ser separados do conteúdo da página e, por sua vez, os conteúdos devem estar claramente separados dos aspectos da interface. A arquitetura que descreve esta prática é largamente utilizada em aplicações Web é chamada Model-View-Controller.
II - Quando se constrói serviços na Web, esses serviços necessitam ser acessados, em algum lugar na Web, por uma aplicação-cliente. Uma forma de se acessar um serviço é fazer com que a aplicação-cliente conheça a URI do serviço, desta maneira caracterizando o modo estático de se localizar e acessar um serviço. Entretanto, quando a aplicação-cliente não detém, a priori, a localização de um serviço na Web, esse, pode ser descoberto, antes de ser acessado, caracterizando o modo dinâmico de se descobrir a localização de um serviço. A especificação técnica que tem como objetivo descrever, descobrir e integrar Web Services é chamada UDDI.
Pode-se afirmar que:
I - A arquitetura de uma aplicação Web descreve a infraestrutura que permite a uma aplicação ou sistema baseado na Web, atingir seus objetivos de aplicação. Estas aplicações, em geral, devem ser construídas usando-se camadas em que diferentes preocupações são levadas em conta; em particular, os dados da aplicação devem ser separados do conteúdo da página e, por sua vez, os conteúdos devem estar claramente separados dos aspectos da interface. A arquitetura que descreve esta prática é largamente utilizada em aplicações Web é chamada Model-View-Controller.
II - Quando se constrói serviços na Web, esses serviços necessitam ser acessados, em algum lugar na Web, por uma aplicação-cliente. Uma forma de se acessar um serviço é fazer com que a aplicação-cliente conheça a URI do serviço, desta maneira caracterizando o modo estático de se localizar e acessar um serviço. Entretanto, quando a aplicação-cliente não detém, a priori, a localização de um serviço na Web, esse, pode ser descoberto, antes de ser acessado, caracterizando o modo dinâmico de se descobrir a localização de um serviço. A especificação técnica que tem como objetivo descrever, descobrir e integrar Web Services é chamada UDDI.
Pode-se afirmar que:
Provas
Questão presente nas seguintes provas
253859
Ano: 2012
Disciplina: TI - Desenvolvimento de Sistemas
Banca: CAIP-IMES
Orgão: Câm. São Caetano do Sul-SP
Disciplina: TI - Desenvolvimento de Sistemas
Banca: CAIP-IMES
Orgão: Câm. São Caetano do Sul-SP
Provas:
A complexidade de execução do algoritmo heapsort, no pior caso é:
Provas
Questão presente nas seguintes provas
253858
Ano: 2012
Disciplina: TI - Desenvolvimento de Sistemas
Banca: CAIP-IMES
Orgão: Câm. São Caetano do Sul-SP
Disciplina: TI - Desenvolvimento de Sistemas
Banca: CAIP-IMES
Orgão: Câm. São Caetano do Sul-SP
Provas:
Dado o algoritmo abaixo, expresso em pseucódigo:

Após a execução do algoritmo acima, as variáveis TRABY e VARX terão respectivamente os valores:

Após a execução do algoritmo acima, as variáveis TRABY e VARX terão respectivamente os valores:
Provas
Questão presente nas seguintes provas
253857
Ano: 2012
Disciplina: TI - Desenvolvimento de Sistemas
Banca: CAIP-IMES
Orgão: Câm. São Caetano do Sul-SP
Disciplina: TI - Desenvolvimento de Sistemas
Banca: CAIP-IMES
Orgão: Câm. São Caetano do Sul-SP
Provas:
Dado o algoritmo abaixo, expresso em pseucódigo:

Após a execução do algoritmo acima, as variáveis VAR1 e VAR2 terão respectivamente os valores:

Após a execução do algoritmo acima, as variáveis VAR1 e VAR2 terão respectivamente os valores:
Provas
Questão presente nas seguintes provas
253856
Ano: 2012
Disciplina: TI - Desenvolvimento de Sistemas
Banca: CAIP-IMES
Orgão: Câm. São Caetano do Sul-SP
Disciplina: TI - Desenvolvimento de Sistemas
Banca: CAIP-IMES
Orgão: Câm. São Caetano do Sul-SP
Provas:
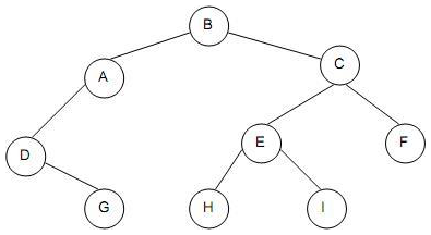
Dada uma estrutura de dados do tipo árvore binária representada pelo diagrama abaixo:

Ao se atravessar a árvore binária acima definida empregando-se o algoritmo INORDER percorreremos os nós:

Ao se atravessar a árvore binária acima definida empregando-se o algoritmo INORDER percorreremos os nós:
Provas
Questão presente nas seguintes provas
253855
Ano: 2012
Disciplina: TI - Desenvolvimento de Sistemas
Banca: CAIP-IMES
Orgão: Câm. São Caetano do Sul-SP
Disciplina: TI - Desenvolvimento de Sistemas
Banca: CAIP-IMES
Orgão: Câm. São Caetano do Sul-SP
Provas:
Em uma linguagem de programação, um parâmetro define como uma variável pode ser passada para uma subrotina. Uma subrotina utiliza os valores atribuídos aos parâmetros para alterar o seu comportamento em tempo de execução. A maioria das linguagens de programação aceita a definição de subrotinas que possuem zero ou mais parâmetros. Dentre os diversos métodos de passagem de parâmetros existentes na maioria das linguagens de programação, destaca-se um no qual são passados os endereços dos parâmetros envolvidos na chamada da função. Este método é conhecido por:
Provas
Questão presente nas seguintes provas
253854
Ano: 2012
Disciplina: TI - Sistemas Operacionais
Banca: CAIP-IMES
Orgão: Câm. São Caetano do Sul-SP
Disciplina: TI - Sistemas Operacionais
Banca: CAIP-IMES
Orgão: Câm. São Caetano do Sul-SP
Provas:
Para se verificar a versão Ruby instalada em sua máquina, pode-se entrar com o comando:
Provas
Questão presente nas seguintes provas
Cadernos
Caderno Container