Magna Concursos

Foram encontradas 82 questões.

2852381 Ano: 2022
Disciplina: Matemática
Banca: FAUEL
Orgão: Câm. Sertanópolis-PR
Provas:
Em um determinado concurso público para o cargo de professor, inscreveram-se 200 pessoas, sendo que apenas um quarto dos inscritos, eram homens. Desses, somente a metade compareceu e fez a prova. O número de homens que realizaram a prova foi de:
 

Provas

Questão presente nas seguintes provas
2852380 Ano: 2022
Disciplina: Matemática
Banca: FAUEL
Orgão: Câm. Sertanópolis-PR
Provas:
Durante uma viagem, um automóvel com velocidade média de 50 km/h percorre determinada distância no tempo de 90 minutos. Ao aumentar sua velocidade média em 20%, o mesmo automóvel percorrerá a mesma distância em quantos minutos?
 

Provas

Questão presente nas seguintes provas
2852379 Ano: 2022
Disciplina: Matemática
Banca: FAUEL
Orgão: Câm. Sertanópolis-PR
Provas:
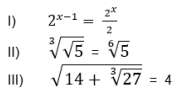
Considere as seguintes expressões:

Enunciado 3204537-1

É (são) verdadeira (s):
 

Provas

Questão presente nas seguintes provas
2852378 Ano: 2022
Disciplina: Matemática
Banca: FAUEL
Orgão: Câm. Sertanópolis-PR
Provas:
Um triângulo é considerado como equilátero quando todos os seus lados possuem a mesma medida. O valor da medida do lado de um triângulo equilátero que possui área igual a 36√3 cm² é igual a:
 

Provas

Questão presente nas seguintes provas
2852377 Ano: 2022
Disciplina: Matemática
Banca: FAUEL
Orgão: Câm. Sertanópolis-PR
Provas:
Se Maria, durante uma dieta, diminuísse 16 kg, ela passaria a ter 80% da sua massa atual. Diante disso, o valor da sua massa atual, em kg, é igual a:
 

Provas

Questão presente nas seguintes provas
2852376 Ano: 2022
Disciplina: Matemática
Banca: FAUEL
Orgão: Câm. Sertanópolis-PR
Provas:
Progressão aritmética (PA) é a sequência numérica onde, a partir do primeiro termo, todos os demais termos são obtidos somando uma constante denominada de razão. A soma dos 40 primeiros termos da PA (7,11,15...) é igual a:
 

Provas

Questão presente nas seguintes provas
2852375 Ano: 2022
Disciplina: Matemática
Banca: FAUEL
Orgão: Câm. Sertanópolis-PR
Provas:
Um determinado recipiente contém 200 ml de água. Ao adicionar x ml de etanol nesse recipiente, a porcentagem do etanol na mistura passou a ser de 20%. A quantidade x de etanol adicionada é igual a:
 

Provas

Questão presente nas seguintes provas
2852374 Ano: 2022
Disciplina: Matemática
Banca: FAUEL
Orgão: Câm. Sertanópolis-PR
Provas:
Durante o recreio em uma escola pública, 500 kg de sopa alimentam 100 crianças durante 20 dias. Nas mesmas condições, 600 kg de sopa alimentariam quantas crianças durante 15 dias?
 

Provas

Questão presente nas seguintes provas
2852373 Ano: 2022
Disciplina: Matemática
Banca: FAUEL
Orgão: Câm. Sertanópolis-PR
Provas:
A figura a seguir mostra as dimensões de um terreno residencial na forma de trapézio, com a indicação das medidas de três de seus lados, em metros.

Enunciado 3204480-1

A área total do terreno, em m², é igual a:
 

Provas

Questão presente nas seguintes provas
2852372 Ano: 2022
Disciplina: Português
Banca: FAUEL
Orgão: Câm. Sertanópolis-PR
Provas:
Leia o texto a seguir para responder à questão.
5 segredos da felicidade, segundo o “homem mais feliz do mundo”

O monge budista Matthieu Ricard é a “pessoa mais feliz do mundo”.

Esse título foi dado por cientistas da Universidade de Wisconsin, nos Estados Unidos, que estudaram seu cérebro.

Mas qual é, na visão dele, o segredo para tanta felicidade? Aos 70 anos, Ricard dá cinco conselhos.

1. Defina o que é felicidade

“Felicidade é um jeito de ser. É um estado mental ótimo, excepcionalmente saudável, que dá a você os recursos para lidar com os altos e baixos da vida.”

2. Seja paciente

“Não seja como uma criança que faz pirraça. ‘Eu quero ser feliz agora’, isso não funciona. Leva tempo cultivar todas aquelas qualidades humanas fundamentais que geram bem-estar.”

3. Saiba que você pode treinar sua mente

“O que você fizer vai mudar seu cérebro. Se você aprender malabarismo, a mergulhar ou a esquiar, seu cérebro vai mudar. Da mesma forma, se você treinar sua concentração, se você treinar para ter mais compaixão, se você treinar para ser mais altruísta, seu cérebro vai mudar, você será uma pessoa diferente. Todas essas habilidades podem ser aprendidas, assim como tocar piano ou jogar xadrez.”

4. Pratique pouco e com frequência

“É como quando você rega as plantas no seu apartamento. Você precisa regar um pouco todos os dias. Se você derramar um balde uma vez por mês, a planta vai morrer. É melhor fazer sessões curtas de meditação com frequência do que uma muito longa de tempos em tempos, porque o processo de neuroplasticidade não será ativado ou mantido.”

5. Não deixe o tédio desencorajá-lo

“Devemos perseverar, porque, às vezes, quando está chato é que uma mudança de verdade ocorre. A regularidade é uma das grandes dicas de meditação e treinamento mental para se tornar uma pessoa melhor, mais feliz e mais altruísta.”
Texto adaptado. Disponível em: <https://www.bbc.com/portuguese/geral-40005893>. Acessado em: 27/01/2019.
Assinale a alternativa que contém a palavra que está CORRETAMENTE flexionada no grau aumentativo sintético.
 

Provas

Questão presente nas seguintes provas