Foram encontradas 55 questões.
Considerando os seguintes grupos de plantas: briófitas, pteridófitas, angiospermas e gimnospermas, assinale a alternativa CORRETA:
Provas
Com relação ao processo de respiração celular, pode-se afirmar que:
Provas
A respeito das mutações, considere as afirmações abaixo:
I – As conseqüências de uma mutação germinativa são muito maiores do que as de uma mutação somática.
II – Tanto as mutações espontâneas quanto as induzidas ocorrem ao acaso.
III – Apenas as mutações de linhagem somática são transmitidas de uma geração para a seguinte e são responsáveis pelas doenças hereditárias.
Estão CORRETAS as afirmações:
Provas
Dá-se o nome de sistema endócrino ao conjunto de órgãos que apresentam como atividade característica a produção de secreções denominadas hormônios, que são lançados na corrente sangüínea.
Considere as seguintes funções do sistema endócrino:
I – Estimular a contração da musculatura uterina e dos condutos das glândulas mamárias.
II – Estimular o aumento da concentração de glicose no sangue
III – Controlar a formação óssea e a excreção do cálcio e do fósforo.
Os hormônios que correspondem a essas funções são respectivamente:
Provas
Ao mudar o estado físico de compostos moleculares estamos apenas causando um afastamento ou aproximação das moléculas que constituem a substância, dessa forma ocorre um enfraquecimento das forças intermoleculares.
Baseando-se nessas informações e considerando as seguintes substâncias; etano, etanol, etanal, e propan-1-ol respectivamente, a opção que indica CORRETAMENTE o ponto de ebulição nessa ordem é:
Provas
O dente é constituído por esmalte, dentina e polpa. O esmalte dos dentes é constituído de hidroxiapatita, Ca5(PO4)3OH, um composto iônico muito pouco solúvel em água. A sua estabilidade é determinada na presença da saliva pelo pH e as concentrações dos íons cálcio e fosfato em solução aquosa. O processo de mineralização/desmineralização do esmalte do dente pode ser representado pela equação I:
Ca5(PO4)3OH(s) + H2O(l) \( \rightleftarrows \) 5Ca2+(aq) + 3 PO4-3(aq) + OH-(aq) (I)
Na presença de íons fluoreto, é estabelecido outro equilíbrio, indicado pela equação II:
5 Ca2+(aq) + 3 PO4-3( aq) + F-( aq) \( \rightleftarrows \) Ca5(PO4)3F(s) (II)
Nesse processo (equação II) uma nova substância é formada, a fluorapatita [Ca5(PO4)3F(s))], a qual é menos suscetível ao ataque por ácidos.
Algumas substâncias presentes nos dentifrícios desempenham funções importantes, atuando como fator abrasivo, corante, espumante, umectante (polialcoóis), edulcorante (confere sabor doce) e agente terapêutico.
Baseando-se nas informações acima é CORRETO afirmar que
Provas
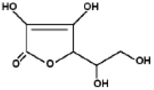
Analise a molécula da vitamina C (ácido L-ascórbico) que tem a fórmula estrutural plana a seguir.

Baseando-se na estrutura plana da vitamina C podemos afirmar corretamente, EXCETO:
Provas
Um objeto maciço com densidade d = 0,002 kg/cm3, de formato cúbico e de aresta 0,1m é colocado dentro de um tanque que contém um líquido cuja densidade é d = 2,0 g/cm3.
Considerando g = 10 m/s2, então:
Provas
Dadas as afirmativas abaixo:
I – É possível usarmos as lentes dos óculos de uma pessoa míope, para concentrar os raios do Sol.
II – A lente principal de um projetor de slides é do mesmo tipo da lente usada para corrigir o defeito da hipermetropia.
III – Se as lentes dos óculos de uma pessoa fazem os olhos e parte do rosto da pessoa nos parecerem maiores do que são, então, essa pessoa possui o defeito da hipermetropia.
Estão CORRETAS:
Provas
Uma pessoa encontra-se sentada em um banco de praça. Uma viatura policial, com a sirene ligada, aproxima-se da pessoa e passa por ela, afastando-se. A pessoa teve a impressão de que o som emitido pela sirene era mais agudo durante a aproximação, tornando-se mais grave, à medida que a ambulância se afastava dela.
É CORRETO afirmar que:
Provas
Caderno Container