Foram encontradas 300 questões.
Se os preços e os salários forem flexíveis, a curva de Phillips com expectativas racionais será
Provas
Questão presente nas seguintes provas
A composição etária de dois países é dada na tabela.

De acordo com a Teoria do Ciclo de Vida, espera-se que

De acordo com a Teoria do Ciclo de Vida, espera-se que
Provas
Questão presente nas seguintes provas
Foi característica do Plano Cruzado:
Provas
Questão presente nas seguintes provas
- MacroeconomiaModelo KeynesianoIS/LMIS-LM-BP (Mundell-Fleming)
- MacroeconomiaEconomia Internacional na Macroeconomia
Em uma economia aberta com regime de taxa de câmbio fixa e perfeita mobilidade de capital, uma contração na oferta monetária
Provas
Questão presente nas seguintes provas
Um canal de TV por assinatura é um bem
Provas
Questão presente nas seguintes provas
A função custo de uma empresa é dada por CT = 1000 + 0,5Q2, em que Q representa as quantidades produzidas. Se a empresa produz 100 unidades, seus custos médio e marginal são, respectivamente,
Provas
Questão presente nas seguintes provas
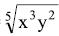
Um indivíduo gasta toda sua renda em dois bens, cujas quantidades são dadas por x e y, respectivamente, e sua função utilidade é dada por U(x,y) =
. Se a renda deste indivíduo é R$ 200, o gasto em cada um dos bens é, respectivamente,
. Se a renda deste indivíduo é R$ 200, o gasto em cada um dos bens é, respectivamente,Provas
Questão presente nas seguintes provas
Um país apresenta, ao final de um ano, R$ 200 milhões em exportações, R$ 300 milhões em importações, R$ 100 milhões em gastos de turistas estrangeiros, R$ 50 milhões em pagamentos de juros ao exterior e R$ 200 milhões em investimento direto do exterior. O saldo da conta Transações Correntes é
Provas
Questão presente nas seguintes provas
Uma empresa monopolista atua em um mercado em que a demanda é dada por Q = 100 - p. Se a função custo dessa empresa é dada por CT = 50 + Q2, então o lucro máximo que pode ser obtido pela empresa é:
Provas
Questão presente nas seguintes provas
A oferta e a demanda em um mercado competitivo são dadas, respectivamente, por Qº= -20 + 30p e QD = 100 - 20p. Se o governo decide cobrar um imposto de R$ 0,50 por unidade vendida, o total arrecadado será:
Provas
Questão presente nas seguintes provas
Cadernos
Caderno Container