Foram encontradas 70 questões.
Com relação às características eletromecânicas e de operação dos geradores síncronos que operam no sistema elétrico brasileiro, os construídos com rotor
Provas
O valor da reatância por unidade do gerador, convertido para a base do projeto, em p.u., é
Provas
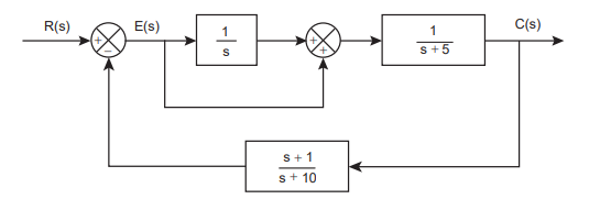
No sistema de controle em malha fechada descrito no diagrama de blocos da Figura a seguir, o sinal de erro atuante E(s) está definido como a diferença entre o sinal de referência R(s) e o sinal de realimentação negativa.

Considerando-se esse diagrama de blocos, a função de transferência do sinal de referência R(s) para o sinal de erro atuante E(s) é
Provas
Considerando-se as características eletromecânicas e de operação dos motores trifásicos assíncronos, nos modelos com rotor tipo
Provas
Em um projeto de instalação elétrica de baixa tensão, é essencial que o engenheiro dimensione corretamente os condutores de cada circuito, levando em conta, entre outros critérios, a queda de tensão admissível. A Tabela a seguir apresenta a queda de tensão de três circuitos, no contexto de um projeto elétrico de baixa tensão. Esses circuitos partem de quadros de distribuição distintos, que são alimentados pelo Quadro Geral de Baixa Tensão (QGBT). O QGBT, por sua vez, é suprido diretamente pelo ponto de entrega (PE), que representa o ponto de conexão entre a instalação do consumidor e o sistema elétrico da concessionária.
Queda de tensão percentual por trecho em relação
ao valor nominal da instalação

Considerando-se que a tensão dos equipamentos previstos para os circuitos é coincidente com a tensão nominal da instalação, pelos critérios de queda de tensão, se o ponto de entrega é nos terminais do secundário do transformador
Provas
• Disjuntor DA (Montante): - Corrente Nominal: 400 A - Disparo Magnético: Fixo em 3.000 A - Capacidade de Ruptura Última: 50 kA
• Disjuntor DB (Jusante): - Corrente Nominal: 160 A - Disparo Magnético: Ajustado para 1.600 A - Capacidade de Ruptura Última: 25 kA
Considere que ocorreu um curto-circuito trifásico de alta intensidade, logo após o Disjuntor DB. A partir do estudo de curto - - circuito, calculou-se que a corrente de defeito nesse ponto foi de 30 kA.
Com relação à correta coordenação de proteção, conclui-se que
Provas
Considerando-se que, para as condições de operação desse motor, as suas perdas por atrito, ventilação e do núcleo sejam 1000W, seu torque de saída, em Nm, é aproximadamente
Dado
Curva de magnetização linear levantada a 2000 rpm;
EA (If) = 30 If, em que: EA é a tensão induzida em volts; e If é a corrente de campo, em ampère;
π = 3.
Provas
Dados da placa: - área: 2 m2 ; - tensão terminal nominal: 20 V; - corrente terminal nominal: 30 A.
Considerando-se essas informações, o rendimento do painel, em percentual, é
Provas
• impedância de sequência positiva: j0,25 p.u.
• impedância de sequência negativa: j0,25 p.u.
• impedância de sequência zero: j0,10 p.u.
Considerando-se que, em um dado momento de sua operação, ocorra uma falta fase-fase no gerador, o módulo da corrente de falta, em kA, em uma das fases com defeito é aproximadamente

Provas
Com relação à teoria das Componentes Simétricas aplicada a sistemas trifásicos, conclui-se que a(s)
Provas
Caderno Container