Foram encontradas 186 questões.

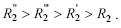
A figura acima ilustra a relação conjugado × velocidade de um motor de indução com rotor bobinado, cuja característica pode variar mediante a inserção de uma resistência externa ao circuito do rotor. Nessa figura, apresentam-se quatro curvas associadas a diferentes valores de resistências, identificados por


Nessa situação, é correto afirmar que as resistências estão relacionadas da forma
Provas
Questão presente nas seguintes provas
A tabela a seguir apresenta o resultado de medições elétricas realizadas em uma instalação industrial para identificar as componentes harmônicas presentes na corrente de alimentação de uma carga não linear.

A partir dessas informações, é correto afirmar que o valor da distorção harmônica total na corrente avaliada está entre

A partir dessas informações, é correto afirmar que o valor da distorção harmônica total na corrente avaliada está entre
Provas
Questão presente nas seguintes provas
Um engenheiro eletricista deve dimensionar os condutores de um circuito terminal trifásico a quatro fios, com 380 V e 100 m de extensão, cuja corrente de projeto é igual a 76,8 A. Para isso, ele decidiu utilizar condutores de cobre, com isolação em PVC, instalados em eletroduto aparente de seção circular. Após consulta à norma NBR 5410/2005, ele verificou que os valores dos fatores de correção de temperatura e de agrupamento que devem ser utilizados são, respectivamente, 0,96 e 0,8. Considerando-se as características do referido circuito trifásico, apresentam-se, na tabela a seguir, para algumas seções de condutores de cobre, a capacidade de condução de corrente, segundo a referida norma, e a queda de tensão unitária, de acordo com valores típicos de fabricantes.

Com base nessas informações, assinale a opção correta a respeito do dimensionamento dos condutores da instalação em questão.

Com base nessas informações, assinale a opção correta a respeito do dimensionamento dos condutores da instalação em questão.
Provas
Questão presente nas seguintes provas

A tabela acima apresenta parâmetros relativos a dois transformadores trifásicos T1 e T2, conectados em paralelo para alimentar uma carga de 5kVA. A partir dessas informações, é correto afirmar que os valores da potência fornecida à carga pelos transformadores T1 e T2 são iguais, respectivamente, a
Provas
Questão presente nas seguintes provas
Para que fossem determinados os parâmetros do circuito equivalente de um transformador de 50 kVA, 2000:200 V, foram realizados ensaios de curto-circuito e de circuito aberto. No ensaio de curto-circuito, os instrumentos foram instalados no lado de alta tensão, deixando-se o lado de baixa tensão em curto-circuito. No ensaio de circuito aberto, os instrumentos foram instalados no lado de baixa tensão, deixando-se o lado de alta tensão em aberto. A tabela a seguir apresenta as medições realizadas nesses ensaios.

Considerando as informações acima, assinale a opção correta.

Considerando as informações acima, assinale a opção correta.
Provas
Questão presente nas seguintes provas

Considerando a figura acima, que ilustra o diagrama em blocos simplificado de um no-break, assinale a opção correta.
Provas
Questão presente nas seguintes provas
- Instalações Elétricas
- Normas TécnicasNBRsNBR 5419: Sistema de Proteção contra Descargas Atmosféricas
Em relação a aterramento e sistemas de proteção de descargas atmosféricas, assinale a opção correta.
Provas
Questão presente nas seguintes provas
A respeito da contribuição da iluminação artificial, do calor proveniente das lâmpadas instaladas em um ambiente e do cálculo de carga térmica instantânea, assinale a opção correta.
Provas
Questão presente nas seguintes provas
A norma IEC 269 classifica o dispositivo de proteção empregado em instalações elétricas para aplicações industriais nos tipos gI, gII e aM. Os tipos gI e gII são limitadores de corrente de sobrecarga e curtos-circuitos, enquanto o tipo aM é utilizado somente contra as correntes de curto-circuito. Esse dispositivo é denominado
Provas
Questão presente nas seguintes provas
- Instalações ElétricasEquipamentos em Baixa Tensão
- Normas TécnicasNBRsNBR 5410: Instalações Elétricas de Baixa Tensão
Os dispositivos diferenciais residuais (DR) de seccionamento mecânico são utilizados na proteção contra choques elétricos provocados por contato direto e indireto. Segundo a NBR 5410/2005, não podem ser utilizados dispositivos DR em instalações elétricas residenciais cujo esquema de aterramento seja o
Provas
Questão presente nas seguintes provas
Cadernos
Caderno Container