Foram encontradas 60 questões.
Uma das divisões da Química é sua classificação entre compostos orgânicos e inorgânicos. Sobre esse tema, leia as afirmativas abaixo a assinale a alternativa CORRETA.
Provas
- Química InorgânicaSoluções e Substâncias InorgânicasSoluções: características, tipos de concentração, diluição, mistura, titulação e soluções coloidais
Sobre a viscosidade, leia as afirmativas abaixo e assinale a alternativa CORRETA.
Provas
Compreender as funções inorgânicas é essencial para compreender a química e suas aplicações práticas, desde a manutenção do equilíbrio ácido-base no corpo humano até processos industriais de grande escala.
A respeito das funções inorgânicas, julgue as afirmativas abaixo, indicando V para VERDADEIRO e F para FALSO:
( ) De acordo com a teoria ácido-base de Brönsted-Lowry, os ácidos são reconhecidos por sua capacidade de doar prótons em solução aquosa, enquanto as bases têm a capacidade de aceitar prótons.
( ) Os sais são compostos formados pela reação entre um ácido e uma base.
( ) Os sais possuem ligações iônicas e covalentes.
( ) Os óxidos são compostos formados pela ligação do oxigênio com outro elemento menos eletronegativo.
( ) Os ácidos são classificados como sendo oxiácidos e hidrácidos.
Qual das seguintes alternativas apresenta a sequência CORRETA?
Provas
A função inorgânica ácido é fundamental na química, sendo caracterizada pela capacidade de doar prótons em solução aquosa. Os ácidos são amplamente utilizados em diversos contextos, desde aplicações industriais até processos biológicos. Em termos de nomenclatura, compreender seus diferentes nomes é essencial para identificar corretamente essas substâncias na prática química.
Entre os ácidos: HClO3, HClO2, HClO4 e HClO, assinale a alternativa CORRETA que corresponde a nomenclatura de cada ácido, respectivamente.
Provas
A padronização ácido-base é um procedimento essencial em laboratórios químicos para determinar a concentração exata de uma solução ácida ou básica. Um exemplo comum desse processo envolve a padronização do ácido clorídrico (HCl) e do hidróxido de sódio (NaOH). Inicialmente, uma solução de concentração conhecida de NaOH é utilizada para neutralizar uma solução de HCl, com o auxílio de um indicador apropriado, como a fenolftaleína. A partir da quantidade de NaOH consumida para neutralizar o HCl, é possível calcular a concentração exata do ácido clorídrico. A padronização ácido-base com HCl e NaOH é crucial para garantir a precisão e confiabilidade das análises químicas que dependem dessas soluções.
Suponha que você tenha um NaOH 0,25 molar e gastou 6 mL para titular o HCl com concentração de 0,1 molar. Qual o volume de HCl que continha no Erlenmeyer? Assinale a alternativa CORRETA.
Provas
A solubilidade de uma substância em um solvente está intimamente ligada às forças intermoleculares presentes tanto na substância quanto no solvente. Essas forças influenciam a capacidade das moléculas de interagirem umas com as outras. Quando uma substância é adicionada a um solvente, as forças intermoleculares entre as moléculas da substância e do solvente devem ser suficientemente semelhantes para permitir a dissolução. Portanto, compreender as forças intermoleculares é essencial para prever a solubilidade das substâncias e para entender os processos de dissolução e formação de soluções. Suponha que você tenha as seguintes substâncias: amônia, iodo, ácido clorídrico, octano e água. Diante disso, analise as seguintes afirmativas.
I. Amônia, iodo e ácido clorídrico são substância polares.
II. Dentre as substâncias citadas no enunciado somente o iodo e o octano não fazem ligação de hidrogênio entre suas moléculas.
III. Amônia e água são solúveis em álcool etílico, enquanto o octano e iodo são solúveis em benzeno.
IV. Dentre as substâncias citadas no enunciado há somente forças intermoleculares do tipo ligação de hidrogênio, e dipolo induzido-dipolo induzido.
V. A geometria molecular de um composto na sua polaridade.
Assinale a alternativa CORRETA em relação à veracidade das afirmativas.
Provas
A síntese de essências é um processo fundamental na indústria de perfumes, aromatizantes e produtos de higiene pessoal. Normalmente, as essências são produzidas a partir de compostos químicos naturais ou sintéticos, que são combinados de forma a criar fragrâncias únicas e agradáveis. Dessa forma, observe a reação abaixo.

Assinale a alternativa CORRETA em que apresenta os nomes dos compostos orgânicos I e II, respectivamente.
Provas
O iso-octano, é um hidrocarboneto pertencente à classe dos alcanos. Sua estrutura química consiste em uma cadeia ramificada de oito átomos de carbono, na qual três grupos metil (CH3) estão ligados ao carbono central. Devido à sua resistência à detonação, o iso-octano é amplamente utilizado como padrão de referência para medir a octanagem da gasolina, sendo parte fundamental nos testes de desempenho de motores e na formulação de combustíveis de alta qualidade. Observe sua estrutura abaixo.

Assinale a alternativa CORRETA de acordo com a nomenclatura IUPAC.
Provas
A química desempenha um papel crucial no processo de reciclagem, pois permite a transformação de materiais descartados em novos produtos, contribuindo para a redução do desperdício e a preservação dos recursos naturais. Um exemplo notável é o alumínio, cuja reciclagem é economicamente viável e energeticamente eficiente devido à sua capacidade de ser fundido e remodelado repetidamente sem perder suas propriedades físicas. Além disso, a síntese do alúmen (KAl(SO4)2.12H2O) a partir do alumínio reciclado destaca-se como um processo químico relevante na reciclagem desse metal. A reação dessa síntese pode ser observada abaixo e já está estequiometricamente balanceada.
\( A \)\( l \)(\( s \)) + \( K \)\( O \)\( H \)(\( a \)\( q \)) + 2\( H \)2\( S \)\( O \)4(\( a \)\( q \)) + 11\( H \)2\( O \) → \( K \)\( A \)\( l \)(\( S \)\( O \)4)2 . 12\( H \)2\( O \)(\( s \)) + 3⁄ 2 \( H \)2(\( g \))
Suponha que a preparação do alúmen partiu de 2 g de lata de alumínio. Ao final do experimento obteve-se uma massa de 10 g de alúmen seco.
Dados: H: 1 u, O: 16 u, S: 32 u; Al: 27 u; K: 39 u. A massa molar do alúmen é de 474 g/mol.
Assinale a alternativa CORRETA em que indica o rendimento mássico teórico do alúmen e seu rendimento percentual experimental, respectivamente.
Provas
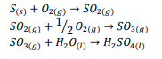
O ácido sulfúrico desempenha um papel fundamental na indústria química, sendo amplamente utilizado na produção de uma variedade de produtos, desde fertilizantes até produtos químicos para limpeza. A síntese do ácido sulfúrico ocorre por meio do processo de contato, no qual o dióxido de enxofre (SO2) é oxidado a trióxido de enxofre (SO3) na presença de um catalisador de óxido de vanádio. O trióxido de enxofre é então dissolvido em água para formar o ácido sulfúrico concentrado. Esse processo é essencial para atender à demanda industrial crescente por ácido sulfúrico, garantindo a produção eficiente e sustentável desse composto químico fundamental. Observe as reações abaixo que já estão estequiometricamente balanceadas.

Dados: H: 1 u, O: 16 u, S: 32 u.
Determine a quantidade de enxofre (S) necessária para produzir 1000 gramas de ácido sulfúrico (H2SO4), assumindo uma eficiência de reação de 100%. Assinale a alternativa CORRETA da massa de enxofre.
Provas
Caderno Container