Foram encontradas 60 questões.
A calibração de equipamentos de laboratório é de extrema importância para garantir a confiabilidade e precisão dos resultados obtidos em análises químicas e experimentos científicos. Dessa forma, uma equipe de laboratório está realizando a calibração de uma balança analítica e de um espectrofotômetro UV-vis para garantir resultados precisos em suas análises. Durante o processo de calibração, qual das seguintes alternativas descreve corretamente uma etapa comum para ambos os equipamentos?
Assinale a alternativa CORRETA.
Provas
- Química InorgânicaSoluções e Substâncias InorgânicasSoluções: características, tipos de concentração, diluição, mistura, titulação e soluções coloidais
O vinagre é o produto resultante da fermentação de certas bebidas alcoólicas, particularmente do vinho. Na fermentação do vinho, micro-organismos da espécie Micoderma aceti transformam o álcool etílico em ácido acético. Após a fermentação, o vinho fica com cerca de 4 a 6 % de ácido acético, recebendo então o nome de vinagre (vinho azedo). O teor de ácido acético no vinagre é determinado volumetricamente titulando-se certa quantidade de vinagre com uma solução padrão de hidróxido de sódio (NaOH) 0,1 M. Suponha que em um Erlenmeyer de 100 mL se adicionou 2 mL de uma amostra de vinagre e após o processo de titulação, feito em triplicata, foram gastos os seguintes volumes de NaOH, V1: 16,7 mL; V2: 16,6 mL; V3: 16,8 mL.
% acidez em ácido acético: (\( V \)\( m \)\( x \)\( M \)\( x \)100\( x \)0,06)/\( A \); onde Vm é o volume médio gasto de NaOH em mL, M é a molaridade do NaOH em mol/L e A é o volume de amostra em mL.
A respeito do tema, julgue as afirmativas abaixo indicando V para verdadeiro e F para falso.
( ) A fenolftaleína é utilizada como indicador, indicando o final da reação, quando todo o ácido presente for neutralizado pelo hidróxido de sódio.
( ) O hidróxido de sódio é o agente titulante, o qual neutraliza o ácido presente na amostra em análise.
( ) O hidróxido de sódio 0,1 M deverá ser manipulado na capela de exaustão por conta de sua volatilidade.
( ) Ao final do processo de titulação o conteúdo do Erlenmeyer deve ser descartado em bombona de inorgânico halogenado.
( ) Após a titulação do vinagre foi obtido um teor de acidez em ácido acético de 5%.
Qual das seguintes alternativas apresenta a sequência CORRETA?
Provas
A química medicinal desempenha um papel crucial no desenvolvimento de fármacos, e a relação entre o paracetamol e a fenilalanina exemplifica a importância dessa disciplina. O paracetamol (estrutura 1), um dos analgésicos e antitérmicos mais amplamente utilizados, é metabolizado no fígado, onde parte dele é convertido em um composto tóxico. Esse composto é normalmente conjugado com o aminoácido fenilalanina (estrutura 2) por meio de uma reação enzimática, formando um conjugado inofensivo que é excretado pela urina.

Em relação à química do paracetamol e fenilalanina, assinale a alternativa CORRETA.
Provas
- Química InorgânicaSoluções e Substâncias InorgânicasSubstâncias Inorgânicas: dissociação iônica e ionização, conceitos de ácido-base
A compreensão dos conceitos de ácidos e bases é fundamental para a química e tem sido moldada por diferentes teorias ao longo do tempo. A teoria de Arrhenius, proposta no final do século XIX, define ácidos como substâncias que liberam íons de hidrogênio (H+) em solução aquosa e bases como substâncias que liberam íons hidroxila (OH-) em solução aquosa. Em contrapartida a teoria de Bronsted-Lowry, desenvolvida em 1923, ampliou essa definição ao considerar ácidos como doadores de prótons e bases como receptores de prótons, independente da presença de água. Ambas as teorias são fundamentais para o entendimento das propriedades ácido-base e são aplicadas em diversos campos da química.
A seguir, observe as reações:

Em relação a Teoria de Bronsted-Lowry e as reações dadas anteriormente, julgue as afirmativas abaixo como V para verdadeiro e F para falso.
( ) Nas reações I, III e IV o NH+ 4, H2O e HSO-4, respectivamente, são ácidos.
( ) Ambas as reações II e III possuem o mesmo ácido, mas com base conjugada diferente.
( ) A reação V apresenta H3O+ como ácido e HSO-3 como base.
( ) A reação I tem como ácido CN- , ácido conjugado o HCN e a base conjugada NH3.
( ) Dentre as cinco reações, há uma entre elas com o OH- como sendo seu ácido conjugado.
Qual das seguintes alternativas apresenta a sequência CORRETA?
Provas
É frequente a confusão que as pessoas fazem com relação ao conceito de massa específica e densidade, justamente pela similaridade conceitual entre essas duas grandezas físicas. Essa confusão pode ser justificada, em muitas das vezes, pela unidade de ambas essas grandezas serem as mesmas.
Qual das seguintes afirmações é CORRETA em relação aos conceitos de densidade e massa específica?
Provas
As forças intermoleculares desempenham um papel crucial na determinação das propriedades físicas das substâncias. Essas forças afetam características como ponto de ebulição, ponto de fusão, solubilidade e tensão superficial. Além disso, as forças intermoleculares também influenciam a capacidade de dissolução de uma substância em um solvente. Sobre essas forças e suas influências nas propriedades, correlacione as substâncias da coluna I com os tipos de forças intermoleculares da coluna II.
Coluna I
I I2
II HF
III HCl
Coluna II
( ) Ligação de Hidrogênio
( ) Força de dispersão de London
( ) Dipolo-Dipolo
Assinale a alternativa com a sequência CORRETA.
Provas
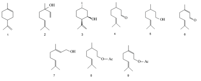
A citronela, conhecida por seu aroma cítrico e propriedades repelentes, tem sido amplamente estudada em relação ao combate à dengue. O óleo essencial de citronela, extraído de plantas como a Cymbopogon nardus e Cymbopogon winterianus, é reconhecido por sua eficácia na repelência de insetos, incluindo o Aedes aegypti, mosquito transmissor da dengue. O óleo extraído pode conter frações das estruturas abaixo.

Sobre as estruturas demonstradas acima analise as afirmativas e assinale a CORRETA.
Provas
É frequente o uso de açúcar (sacarose, C12H22O11) como ingrediente em sucos, refrigerantes, chás e muitos outros produtos, a fim de adoçar e, consequentemente, tornar seu sabor mais atrativo e agradável. Porém, é importante saber que o seu consumo em excesso pode estar associado a diversos problemas de saúde, como a obesidade, diabetes e doenças cardiovasculares. Suponha que o rótulo de um chá gelado (250 mL), de uma determinada marca, mostra em seus ingredientes que há 2 g de sacarose. O cliente, não muito satisfeito com o sabor doce, resolveu adicionar 20 mL de água em seu copo que já continha 80 mL do chá comercial. Diante do exposto, calcule a concentração em mol/L de sacarose no chá gelado comercial e a concentração em g/L de sacarose no seu copo após adição de água.
Dados: C: 12 u, H: 1 u, O: 16 u.
Assinale a afirmativa CORRETA que apresenta a concentração em mol/L de sacarose no chá gelado comercial e a concentração em g/L de sacarose no copo do cliente, respectivamente.
Provas
- Internet
- Segurança da InformaçãoAtaques e Golpes
- Segurança da InformaçãoVírus, Spyware e OutrosRansomware
- Segurança da InformaçãoVírus, Spyware e OutrosSpyware
- Segurança da InformaçãoVírus, Spyware e OutrosVírus
Você está navegando na internet em busca de um novo par de tênis para usar na academia. Ao clicar em um anúncio chamativo, é direcionado para um site que parece ser a loja oficial da marca. Considerando a oferta imperdível, você preenche seus dados pessoais e bancários para finalizar a compra. Mas algo parece estranho. Será que você caiu em uma armadilha virtual?
Assinale a alternativa CORRETA que identifica a principal ameaça cibernética que você pode ter enfrentado.
Provas
Em uma planilha do Excel, você precisa verificar se todos os registros de uma coluna possuem algum valor digitado. Qual das das alternativas abaixo apresenta a expressão do Excel usada CORRETAMENTE para contar o número de células não vazias no intervalo de C1 a C10?
Provas
Caderno Container