Foram encontradas 1.972 questões.
Considere que uma caderneta de poupança paga uma taxa nominal de juros compostos de 9,6% ao ano, capitalizados mensalmente. Tomando 1,05 como valor aproximado para (1,008)6, julgue os itens seguintes.
A taxa efetiva anual paga por essa caderneta de poupança é superior a 10%.
Provas
Considere que uma caderneta de poupança paga uma taxa nominal de juros compostos de 9,6% ao ano, capitalizados mensalmente. Tomando 1,05 como valor aproximado para (1,008)6, julgue os itens seguintes.
A taxa efetiva mensal paga por essa caderneta de poupança é superior a 1%.
Provas
- Juros (Capitalização)Juros Simples
- Juros (Capitalização)Juros Compostos
- Juros (Capitalização)Montante
Uma aplicação financeira, de capitalização mensal, paga uma taxa de juros compostos de 1% ao mês. Com relação a essa aplicação, julgue os itens a seguir.
Se a taxa de juros citada acima for aplicada a um capital por 2 meses, gerará um montante menor que o gerado por uma taxa de juros simples de 1% ao mês aplicada sobre o mesmo capital.
Provas
Uma aplicação financeira, de capitalização mensal, paga uma taxa de juros compostos de 1% ao mês. Com relação a essa aplicação, julgue os itens a seguir.
A taxa de juros da aplicação financeira mencionada equivale a uma taxa efetiva de juros compostos superior a 12% ao ano.
Provas
Uma aplicação financeira, de capitalização mensal, paga uma taxa de juros compostos de 1% ao mês. Com relação a essa aplicação, julgue os itens a seguir.
A taxa de juros da aplicação financeira mencionada é equivalente a uma taxa nominal de juros compostos de 12% ao ano com capitalização mensal.
Provas
Ainda acerca de conhecimentos de matemática financeira, julgue os itens subseqüentes.
Dois capitais, com datas de vencimentos determinadas, são equivalentes quando, ao serem levados para uma mesma data focal à mesma taxa de juros, resultarem em valores iguais.
Provas
Ainda acerca de conhecimentos de matemática financeira, julgue os itens subseqüentes.
Suponha que duas promissórias de mesmo valor nominal sejam descontadas com o mesmo prazo de antecipação e à mesma taxa de desconto simples. Se em uma delas é usado o desconto comercial e, na outra, o desconto racional, é correto concluir que o valor descontado da promissória em que se aplicou o desconto comercial será inferior ao valor descontado da promissória em que se aplicou o desconto racional.
Provas
Ainda acerca de conhecimentos de matemática financeira, julgue os itens subseqüentes.
Considere que dois capitais sejam depositados em duas aplicações financeiras que pagam a mesma taxa de juros simples. Se, em determinada data, os montantes totais existentes nessas aplicações financeiras são iguais, então eles serão iguais a partir dessa data.
Provas
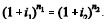
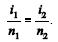
Ainda acerca de conhecimentos de matemática financeira, julgue os itens subseqüentes.

Provas
Ainda acerca de conhecimentos de matemática financeira, julgue os itens subseqüentes.
Considere que dois capitais iguais sejam aplicados pelo mesmo prazo, no regime de juros simples, a taxas equivalentes i1 e i2, sendo que, para o capital aplicado à taxa i1, esse prazo correspondeu a n1 períodos, enquanto que, para o capital aplicado à taxa i2, o prazo correspondeu a n2 períodos. Nessas condições, tem-se que 
Provas
Caderno Container