Foram encontradas 116 questões.
Girls’ rights
Can the movement achieve lasting change?
A movement to protect and expand girls' rights around the world is gaining support from governments, international donors and advocacy groups. Improving girls' lives is not only a moral issue — research shows it also speeds economic development. Activists are pushing to end child marriage, educate all girls, improve their reproductive health and reduce violence and discrimination against them. Although girls' mortality and school enrollment rates have been improving, obstacles remain. Nearly 120 million girls do not attend primary school, and 15 million girls under 18 marry each year, often under duress, ending their schooling and putting them at risk for domestic violence and health complications. In some countries girls' progress is threatened by religious extremists, such as the Taliban in Afghanistan and Pakistan, Islamic State in Iraq and Syria and Boko Haram in Nigeria. Activists say that to have lasting effects, girls' rights campaigns must establish effective onthe-ground programs that change societal attitudes as well as local policies.
Disponível em:
http://library.cqpress.com/cqresearcher/document.php?id=cqresrre2
015041700> Acessado em 20 de outubro de 2015.
Underage girls’ marriages
Provas
Questão presente nas seguintes provas
Leia a notícia abaixo.
“Após um 2014 marcado por aumento de queimadas em áreas verdes do Brasil, a primeira metade de 2015 mostra que a situação está ainda mais crítica. Imagens consolidadas de satélite do Instituto Nacional de Pesquisas Espaciais (INPE) mostram severo aumento dos incêndios florestais em boa parte dos Estados, especialmente os das regiões Sul, Nordeste e Norte, que chegou a 138% no primeiro semestre.”.
Fonte: adaptado de http://ultimosegundo.ig.com.br/brasil/2015-08-
15/queimadas-crescem-ate-138-nas-florestas-brasileiras-em-
2015.html
Considerando o impacto das queimadas florestais sobre a sucessão ecológica, é correto afirmar que, nas áreas afetadas, haverá:
Provas
Questão presente nas seguintes provas
O estado da matéria é definido como a forma distinta que a matéria apresenta. Quatro estados da matéria são observáveis na nossa vida cotidiana: sólido, líquido, gasoso, e plasma. Muitos outros estados são conhecidos, mas ocorrem em situações extremas. De acordo com o esquema abaixo, foram feitas três afirmações:

1) As transformações a, b, c e g ocorrem com o aumento da entropia.
2) As transformações g e h correspondem à sublimação e à condensação, respectivamente.
3) As transformações e e f correspondem à condensação e à solidificação, respectivamente.
Está(ão) correta(s):
Provas
Questão presente nas seguintes provas
Disponível em: http://laughtershub.blogspot.com.br/2013/02/comicstrips-
with-doctor.html Acessado em 20 de outubro de 2015.
The message above implies that
Provas
Questão presente nas seguintes provas
791980
Ano: 2015
Disciplina: Literatura Brasileira e Estrangeira
Banca: FADURPE
Orgão: CESMAC
Disciplina: Literatura Brasileira e Estrangeira
Banca: FADURPE
Orgão: CESMAC
Provas:
Após a Semana de Arte Moderna, alguns escritores de diferentes regiões do país começaram a produzir obras em prosa que retratavam criticamente a realidade social e política do Brasil. Passaram a tematizar questões como a desigualdade social, a vida miserável e indigna dos retirantes, os costumes escravagistas e o coronelismo, apoiado na posse das terras. Esses problemas muitas vezes eram desconhecidos do público leitor dos centros urbanos da época.
Em 1926, em Recife, essa proposta estética firmou-se em um congresso, no qual escritores nordestinos tomaram a decisão de criar uma prosa regional comprometida com a participação política e a denúncia social.
(Graça Sette, Márcia Travalha; Rosário Starling. Literatura – trilhas
e tramas. São Paulo: Leya, 2015, p. 494. Fragmento).
O Fragmento transcrito acima se refere ao movimento que deu origem ao conhecido “Romance de 30” e que teve, entre seus principais representantes:
Provas
Questão presente nas seguintes provas
Leia a notícia abaixo.
“A Volkswagen admitiu que um dispositivo que altera resultados sobre emissões de poluentes foi instalado em 11 milhões de veículos a diesel em todo o mundo, em modelos de várias marcas pertencentes ao grupo.”
Fonte: g1.globo.com
Considerando os possíveis danos ambientais resultantes da fraude acima, é correto afirmar que a queima do diesel por estes veículos aumentou a poluição liberando gases como, exceto:
Provas
Questão presente nas seguintes provas
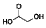
O ácido glicólico é um ácido muito utilizado pelos dermatologistas para melhorar a aparência e a textura da pele. Pode reduzir rugas, cicatrizes de acne, hiperpigmentação e melhorar outras condições da pele, como hiperqueratose, queratose actínica e queratose seborréica. O ácido glicólico apresenta a fórmula estrutural seguinte:

e é produzido pela reação do ácido cloroacético com o hidróxido de sódio seguida por uma re-acidificação. A reação pode ser equacionada da seguinte maneira:
!$ ClCH_2CO_2H + NaOH \rightarrow HOCH_2CO_2H + NaCl !$
Desta forma, alguns milhões de quilogramas de ácido glicólico são produzidos anualmente.
Calcule a quantidade de ácido glicólico produzida a partir de 200 g de ácido cloroacético e 70,0 g de hidróxido de sódio.
Dados: Massas molares em g . mol-1: H = 1; C = 12; O = 16; Na = 23; Cl = 35,5.
Provas
Questão presente nas seguintes provas
A influência da Igreja Católica foi dominante em todas as áreas. Um dos seus teóricos mais conhecido, Santo Agostinho, defendia:
Provas
Questão presente nas seguintes provas
A relação entre meio ambiente e saúde
(1) Não é de hoje que as inter-relações entre população, recursos naturais e desenvolvimento têm sido objeto de preocupação social e de estudos científicos. A história mostra que o homem sempre utilizou os recursos naturais para o desenvolvimento da tecnologia e da economia, na pretensão de garantir uma vida com mais qualidade.
(2) Entretanto, é fácil constatar que a equação (exploração de recursos naturais desenvolvimento econômico e tecnológico=qualidade de vida) não vem se revelando verdadeira. Isso porque os recursos oriundos da natureza estão sendo aproveitados de forma predatória, causando graves danos ao meio ambiente e refletindo negativamente nas condições de vida e de saúde do homem.
(3) Nesse sentido, há quem admita que: “Tudo se tornou válido em nome do progresso, do bem estar da sociedade e da vida mais confortável”, sem se perceber que, paradoxalmente, a busca do homem por uma vida melhor está lhe trazendo doenças, problemas sociais e comprometendo seu futuro na Terra, já que suas ações são altamente degradantes. (...)
(4) Muitas pessoas não percebem que o homem é parte integrante da natureza e, nesta condição, precisa da boa qualidade do meio ambiente para ter uma vida saudável. É certo que qualquer dano causado ao meio ambiente provoca prejuízos à saúde pública e vice versa. “A existência de um é a própria condição da existência do outro, razão pela qual o ser humano deve realizar suas atividades respeitando e protegendo a natureza.”
(5) É fácil descobrir inúmeras situações que demonstram a relação entre o meio ambiente e a saúde. O vibrião da cólera, por exemplo, é transmitido pelo contato direto com a água ou pela ingestão de alimentos contaminados. A falta de saneamento básico, os maus hábitos de higiene e as condições precárias de vida de determinadas regiões do planeta são fatores que estão intimamente ligados com o meio ambiente e que contribuem para a transmissão da doença. “A água infectada, além de disseminar a doença ao ser ingerida, pode também contaminar peixes, mariscos etc.”
(6) O jornal “A Folha de São Paulo” noticiou, em outubro de 2004, que as enormes quantidades de substâncias químicas encontradas no ar, na água, nos alimentos e nos produtos utilizados rotineiramente estão diretamente relacionadas com uma maior incidência de câncer, de distúrbios neurocomportamentais, de depressão e de perda de memória. Outros dados referem uma pesquisa feita com cinquenta controladores de trânsito da cidade de S. Paulo, não fumantes e sem doenças prévias. A conclusão foi que todos apresentavam elevação de pressão arterial e variação de frequência cardíaca nos dias de maior poluição atmosférica. Além disso, 33% deles possuíam condições típicas de fumantes, como redução da capacidade pulmonar e inflamação frequente dos brônquios.
(7) Ou seja, diariamente, é possível constatar várias situações que nos revelam como a degradação ambiental causa problemas na saúde e nas condições de vida do homem.
(Paulo Roberto Cunha. http://jus.com.br/947805. Adaptado).
Para o êxito na compreensão do Texto 1, é preciso que o entendamos como:
Provas
Questão presente nas seguintes provas
No circuito elétrico mostrado a seguir, as placas do capacitor de capacitância C = 8,0 !$ \mu !$F, onde 1 !$ \mu !$F = 10-6 F, estão inicialmente mantidas a uma ddp de 10 V. A chave Ch é então fechada no instante t = 0. No instante t = t1, a ddp entre as placas do capacitor é de 5,0 V. Calcule a energia elétrica dissipada pelo resistor ôhmico de resistência R entre os instantes t = 0 e t = t1.

Provas
Questão presente nas seguintes provas
Cadernos
Caderno Container