Magna Concursos

Foram encontradas 116 questões.

1284701 Ano: 2019
Disciplina: Filosofia
Banca: FADURPE
Orgão: CESMAC
Provas:
Quando o caminho cognitivo para se atingir o “ser dos entes” é a rigorosa observação empírica do sujeito cognoscente, diz-se tratar-se do conhecimento:
 

Provas

Questão presente nas seguintes provas
1284629 Ano: 2019
Disciplina: Química
Banca: FADURPE
Orgão: CESMAC
Provas:
Xenobióticos são compostos químicos encontrados em um sistema biológico, porém não produzidos por ele.
Medicamentos, como os antibióticos, são considerados compostos xenobióticos, sendo metabolizados no fígado através de enzimas. Um exemplo de metabólito xenobiótico humano é o terc-butanol, que pode ser sinteticamente obtido através de diferentes formas.
Uma forma de obtenção do terc-butanol está representada através da reação abaixo:
(CH 3) 3CBr (aq) + OH - (aq) !$ \rightarrow !$ (CH 3) 3COH (aq) + Br - (aq)
Experimentos foram realizados para o estudo da cinética reacional, à temperatura constante de 60°C.
Experimento 1 2 3
[(CH 3) 3CBr] (mol.L -1) 1,5 3,0 3,0
[OH -] (mol.L -1) 5,0 5,0 10,0
Velocidade Inicial (mol.L -1.s -1) 1,5 3,0 3,0
Baseado nos experimentos descritos acima, qual a lei de velocidade para a formação do terc-butanol?
 

Provas

Questão presente nas seguintes provas
1284514 Ano: 2019
Disciplina: Física
Banca: FADURPE
Orgão: CESMAC
Provas:
Uma pessoa precisa deslocar uma caixa de madeira sobre um piso horizontal, ao longo de uma distância de 8,0 m em linha reta. A caixa possui um equipamento em seu interior, de modo que sua massa total é de 80 kg. Os coeficientes de atrito estático e cinético entre a madeira e o piso valem !$ \mu !$e = 0,48 e !$ \mu !$c = 0,40, respectivamente. Se a pessoa aplica na caixa uma força horizontal constante de 400 N ao longo de todo o percurso, calcule a velocidade máxima atingida pela caixa. Dado: aceleração da gravidade g = 10,0 m/s2.
 

Provas

Questão presente nas seguintes provas
1284502 Ano: 2019
Disciplina: Química
Banca: FADURPE
Orgão: CESMAC
Provas:
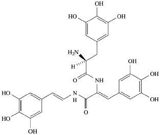
O vanádio é considerado um elemento importante para a bioquímica de muitos seres vivos. Certos animais marinhos, como a Ascidia nigra, do subfilo Tunicata, acumulam vanádio em seu sangue devido à presença do pigmento Tunicromo-B1. A concentração de vanádio nas Tunicatas chega a ser 10 7 vezes maior que na água do mar. A estrutura do Tunicromo-B1 está representada abaixo.
enunciado 2075502-1
Acerca da estrutura do Tunicromo-B1, são realizadas algumas afirmações:
1) Em sua estrutura, são encontrados dois carbonos sp 3.
2) A fórmula molecular do Tunicromo-B1 é C 26H 26O 11N 3.
3) São encontradas duas aminas secundárias e uma amina primária.
Está(ão) correta(s) a(s) afirmativa(s):
 

Provas

Questão presente nas seguintes provas
1284458 Ano: 2019
Disciplina: Biologia
Banca: FADURPE
Orgão: CESMAC
Provas:
Segundo informações no site da polícia federal brasileira, 79,2 toneladas de cocaína foram apreendidas, em 2018, e 39,3 toneladas, em 2019.
O consumo desse entorpecente, entre outros efeitos, provoca em seus usuários:
 

Provas

Questão presente nas seguintes provas
1284416 Ano: 2019
Disciplina: Português
Banca: FADURPE
Orgão: CESMAC
Provas:
TEXTO 2
A arte de escrever
1. Há, portanto, uma arte de escrever, que é a produção de um texto escrito. Não é uma prerrogativa dos literatos, senão uma atividade social indispensável, para a qual falta, não obstante, muitas vezes, uma preparação preliminar adequada.
2. A arte de falar, necessária à exposição oral, é mais fácil na medida em que se beneficia da prática da fala cotidiana, de cujos elementos parte, em princípio. O que há de comum, antes de tudo, entre a exposição oral e a escrita é a necessidade de uma boa composição, isto é, uma distribuição metódica e compreensiva de ideias.
3. Impõe-se igualmente a visualização de um objetivo definido. Ninguém é capaz de escrever bem se não sabe bem sobre o que vai escrever. Justamente por causa disso, as condições para a escrita de um texto, no exercício da vida profissional ou no intercâmbio social amplo, são muito diversas das da redação escolar. A convicção do que vamos dizer, a importância que há em dizê-lo, o domínio de um assunto da nossa especialidade tiram da redação escolar o caráter negativo de mero exercício formal.
4. Qualquer um de nós, senhor de um assunto é, em princípio, capaz de escrever sobre ele. Não há um dom inato, especial, para escrever, ao contrário do que muita gente pensa. Há apenas uma falta de preparação especial, que o esforço e a prática continuada e persistente vencem.
5. Por outro lado, a arte de escrever, na medida em que consubstancia a nossa capacidade de expressão do pensar e do sentir, tem de firmar raízes na nossa própria personalidade e decorre, em grande parte, de um trabalho nosso para desenvolver a personalidade por este ângulo.
[...]
6. A arte de escrever precisa assentar numa atividade preliminar já radicada, que parte do ensino escolar e de um hábito de leitura inteligentemente conduzido. Depende muito, portanto, de nós mesmos, de uma disciplina mental adquirida pela autocrítica e pela observação cuidadosa do que outros, com bons resultados, escreveram.
CAMARA, J. Mattoso. Manual de expressão oral e escrita.
Petrópolis, Vozes, 1983. Adaptado.
Considerando o núcleo da temática desenvolvida no Texto, foi decisiva para a coesão e a coerência do texto:
 

Provas

Questão presente nas seguintes provas
1284298 Ano: 2019
Disciplina: Biologia
Banca: FADURPE
Orgão: CESMAC
Provas:
Os vencedores do prêmio Nobel de Medicina de 2019, Peter Ratcliffe, Willian Kaelin e Gregg Semenza, identificaram em suas pesquisas como as células regulam a atividade dos genes em resposta à variação dos níveis de oxigênio. Sobre este assunto, é correto afirmar que no interior celular:
1) a reoxidação do NADH e FADH libera elétrons altamente energéticos que reduzem o gás oxigênio a moléculas de água.
2) na respiração celular anaeróbia, o oxigênio é substituído como último aceptor da cadeia de transporte de elétrons por moléculas, tais como, sulfatos ou nitratos.
3) a ausência de oxigênio nas células musculares estimula a formação de ácido lático a partir do ácido pirúvico, este último derivado da glicólise.
Está(ão) correta(s):
 

Provas

Questão presente nas seguintes provas
1283893 Ano: 2019
Disciplina: Português
Banca: FADURPE
Orgão: CESMAC
Provas:
TEXTO 1
Se você parar para pensar...
1. Na correria do dia a dia, o urgente não vem deixando tempo para o importante. Essa constatação, carregada de estranha obviedade, obriga-nos quase a tratar como uma circunstância paralela e eventual aquela que deve ser considerada a marca humana por excelência: a capacidade de reflexão e consciência. Aliás, em alguns momentos, as pessoas usam até uma advertência (quando querem afirmar que algo não vai bem): “Se você parar para pensar...”
2. Por que parar para pensar? Será tão difícil pensar enquanto continua fazendo outras coisas ou, melhor ainda, seria possível fazer sem pensar e, num determinado momento, ter de parar? Ora, pensar é uma atitude contínua, e não um evento episódico! Não é preciso parar – nem se deve fazê-lo – sob pena de romper com nossa liberdade consciente.
3. O escritor francês Anatole França, um mestre da ironia e do ceticismo, dizia: “O pensamento é uma doença peculiar de certos indivíduos, que, ao propagar-se, em breve acabaria com a espécie”.
4. Talvez “pensar mais” não levasse necessariamente ao “término da espécie”, mas, com muita probabilidade, dificultaria a presença daqueles, no mundo dos negócios e da comunicação, que só entendem e tratam as pessoas como consumidores vorazes e insanos. Talvez, um “pensar mais” nos levasse a gritar que basta de tantos imperativos.
Compre! Olhe! Veja! Faça! Leia! Sinta! E a vontade própria e o desejo sem contornos? E a liberdade de decidir, escolher, optar, aderir? Será um basta do corpo e da mente que já não mais aguentam tantas medicinas, tantas dietas compulsórias, tantas ordens da moda e admoestações da mídia; corpo e mente que carecem, cada dia mais, de horas de sono complementares, horas de lazer suplementares e horas de sossego regulamentares, quase esgotados na capacidade de persistir, combater e evitar o amortecimento dos sentidos e dos sonhos pessoais e sinceros. Essa demora em “pensar mais”, esse retardamento da reflexão como uma atitude continuada e deliberada, vem produzindo um fenômeno quase coletivo: mais e mais pessoas querendo desistir, com vontade imensa de mudar de vida, transformar-se, livrando-se das pequenas situações que as torturam, que as amarguram, que as esvaem. Vêm à tona impulsos de romper as amarras da civilização e partir, céleres, em direção ao incerto, ao sedutor repouso oferecido pela irracionalidade e pela inconsequência.
Cansaço imenso de um grande sertão com diminutas veredas? (...)
5. Pouco importa, dado que ser humano é ser capaz de dizer “não” ao que parece não ter alternativa. Apesar dos constrangimentos e da tentativa de sequestro da nossa subjetividade, pensar não é, de fato, crime e, por isso, não se deve parar.
(CORTELLA, Mário Sérgio. Folha de S. Paulo, maio de 2001. Adaptado).
A ideia global do Texto pode ser sintetizada conforme a seguinte alternativa:
 

Provas

Questão presente nas seguintes provas
1283484 Ano: 2019
Disciplina: Química
Banca: FADURPE
Orgão: CESMAC
Provas:
O cromato de chumbo (PbCrO 4) representa um importante pigmento de coloração amarela, sendo pouco solúvel em água. Para a sua obtenção, é realizada a reação do acetato de chumbo (PbAc 2, Ac = acetato) com o cromato de sódio (Na 2CrO 4), como representado abaixo:
Na 2CrO 4(aq) + PbAc 2(aq) !$ \rightarrow !$ 2 NaAc (aq) + PbCrO 4(s)
A reação de obtenção do PbCrO 4 é classificada como:
 

Provas

Questão presente nas seguintes provas
1283342 Ano: 2019
Disciplina: Física
Banca: FADURPE
Orgão: CESMAC
Provas:
Uma corrida de 10.000 m foi realizada e o corredor vencedor concluiu a prova em 30 min. O corredor que chegou em último lugar correu com velocidade média igual a 40% da velocidade média do corredor vencedor. Calcule o tempo que o último corredor a chegar levou para completar a prova.
 

Provas

Questão presente nas seguintes provas