Foram encontradas 116 questões.
A engenharia genética consiste em um conjunto de técnicas que permitem isolar e multiplicar ácidos nucleicos e também transferi-los de um indivíduo para outro, mesmo entre diferentes espécies. O esquema abaixo ilustra um experimento envolvendo engenharia genética.

É correto afirmar que a técnica utilizada demonstra um exemplo de:
Provas
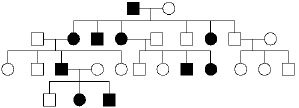
A doença de Huntington é uma enfermidade hereditária rara, que afeta o sistema nervoso central, causando alterações dos movimentos, do comportamento e da capacidade cognitiva. O heredograma abaixo é de uma família com casos desta doença, nos quais os homens e mulheres afetados estão representados, respectivamente, pelos quadrados e círculos pretos.

Analisando as informações acima, pode-se afirmar que:
Provas
O exercício demanda uma intensa atividade metabólica energética intracelular. Na figura abaixo, está representado o metabolismo aeróbico para a obtenção de energia em uma célula muscular.

Nesse contexto, as moléculas 1, 2, 3 e 4 acima indicam, respectivamente:
Provas
É importante que a disciplina ‘Sociologia’ faça parte dos Currículos Acadêmicos, porque é ela que:
Provas
Um coletivo de cidadãos que, de forma consciente, se organiza, sob uma mesma autoridade e princípios, visando idênticos interesses, é o que, em Sociologia, se entende por uma:
Provas
Todas as formas de cultura e valores, tais como: língua, tradições, costumes e formas de associação, que determinada sociedade recebe das gerações que a precederam, é o que, em Sociologia, se designa por:
Provas
Entidades humanas que, para garantirem a necessária estabilidade e harmonia, e se regem por um conjunto de procedimentos e regras padronizados, aceites por todos, são o que, em Sociologia, se definem como:
Provas
Valores éticos devem definir-se como sendo aqueles que:
Provas
Entre os grandes períodos da História da Filosofia Ocidental, houve um que defendia que a Filosofia devia estar ao serviço da Teologia, para, deste modo, facilitar a compreensão dos dogmas da religião cristã. Esse Período ficou conhecido como:
Provas
A verdadeira importância do chamado “ato de filosofar” deve-se ao fato de ser ele o único caminho, estritamente racional, que pode levar o homem:
Provas
Caderno Container