Magna Concursos

Foram encontradas 868 questões.

778162 Ano: 2019
Disciplina: TI - Organização e Arquitetura dos Computadores
Banca: DIRENS Aeronáutica
Orgão: CIAAR
Qual o valor total, em decimais, da multiplicação do número 12C, em hexadecimal, por 11011, em binário?
 

Provas

Questão presente nas seguintes provas
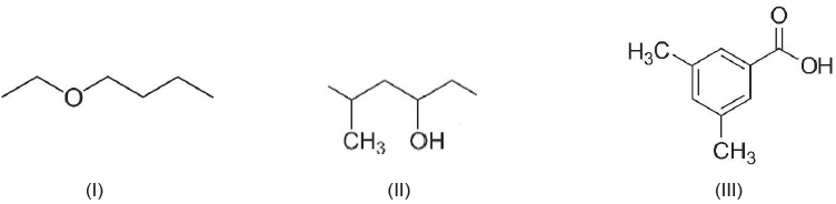
778160 Ano: 2019
Disciplina: Química
Banca: DIRENS Aeronáutica
Orgão: CIAAR
Os compostos abaixo se encaixam em três importantes grupos funcionais presentes em moléculas orgânicas:
Enunciado 2619535-1
A nom enclatura correta para os compostos (I), (II) e (III) é, respectivamente,
 

Provas

Questão presente nas seguintes provas
778126 Ano: 2019
Disciplina: Engenharia Elétrica
Banca: DIRENS Aeronáutica
Orgão: CIAAR
Um aspecto adicional fornecido pelo Coronel Coulomb retrata que a força que atua ao longo da linha que une as duas cargas na Lei de Coulomb é atrativa
 

Provas

Questão presente nas seguintes provas
778124 Ano: 2019
Disciplina: Odontologia
Banca: DIRENS Aeronáutica
Orgão: CIAAR
A síndrome de Treacher-Collins é uma síndrome hereditária autossômica dominante. É uma disostose mandibulofacial rara que ocorre em cerca de 1:25.000 a 1:50.000 nascimentos. Origina-se de defeitos nas estruturas derivadas do primeiro e do segundo arcos branquiais.
Informe se é verdadeiro (V) ou falso (F) o que se afirma em relação a algumas características clínicas do indivíduo afetado pela síndrome de Treacher-Collins.
( ) A mandíbula é hiperplásica.
( ) As glândulas parótidas podem estar hipoplásicas ou ausentes.
( ) A fenda palatina está presente em todos os indivíduos afetados pela síndrome.
( ) A face é estreita, com depressão das bochechas e inclinação oblíqua das fissuras palpebrais.
( ) A presença de defeitos ósseos, ou a ausência, do conduto auditivo externo pode provocar perda de audição.
De acordo com as afirmações, a sequência correta é
 

Provas

Questão presente nas seguintes provas
778107 Ano: 2019
Disciplina: Engenharia Eletrônica
Banca: DIRENS Aeronáutica
Orgão: CIAAR
Para o bom funcionamento de um retificador controlado de silício (SCR) é correto afirmar que se torna necessário aplicar um
 

Provas

Questão presente nas seguintes provas
778096 Ano: 2019
Disciplina: Odontologia
Banca: DIRENS Aeronáutica
Orgão: CIAAR
Preencha corretamente as lacunas.
Letargia, pele seca e edema de face são alguns dos sinais e sintomas do ____________. Em relação aos achados orais, devido ao acúmulo de glicosaminoglicanos, no ____________ os lábios podem ser espessos e a língua pode apresentar aumento difuso.
A sequência que preenche corretamente as lacunas do texto é
 

Provas

Questão presente nas seguintes provas
778095 Ano: 2019
Disciplina: Odontologia
Banca: DIRENS Aeronáutica
Orgão: CIAAR
Provas:
O cemento é um tecido mineralizado especializado que reveste as superfícies radiculares. Existem diferentes tipos de cemento, e, dentre eles, pode-se citar o cemento celular de fibras intrínsecas, que pode ser definido como o cemento encontrado
 

Provas

Questão presente nas seguintes provas
778078 Ano: 2019
Disciplina: Engenharia de Telecomunicações
Banca: DIRENS Aeronáutica
Orgão: CIAAR
Para analisar as alterações no feixe transmitido em uma fibra óptica, é necessário considerar dois conjuntos de fatores principais: os que reduzem a amplitude do campo (atenuação) e os que modificam sua forma de onda (dispersão). Esses fatores têm fundamental importância na avaliação de desempenho do sistema.
A esse respeito, avalie o que se afirma serem causas relacionadas com a atenuação na fibra óptica.
I. Efeito guia de onda.
II. Absorção pelo material.
III. Microcurvaturas na fibra.
IV. Espalhamento linear de Rayleigh.
Está correto apenas o que se afirma em
 

Provas

Questão presente nas seguintes provas
778069 Ano: 2019
Disciplina: Farmácia
Banca: DIRENS Aeronáutica
Orgão: CIAAR
O sangue para análise é obtido de veias, artérias ou capilares. No entanto, o sangue venoso é geralmente a amostra preferencial.
A respeito da venopuntura, analise as asserções a seguir e a relação proposta entre elas.
I. A venopuntura pode ser realizada em um paciente sentado ou em pé
PORQUE
II. a venopuntura de uma paciente submetida à dupla mastectomia, há menos de 6 meses, deve ser realizada em uma veia no dorso da mão ou do tornozelo.
Sobre essas asserções, é correto afirmar que
 

Provas

Questão presente nas seguintes provas
778057 Ano: 2019
Disciplina: Biblioteconomia
Banca: DIRENS Aeronáutica
Orgão: CIAAR
Provas:
Segundo Souto (2014), a tomada de decisão e a ação individual ou coletiva também necessitam de dados, informação e conhecimento que influenciarão os rumos da organização, constituindo a essência do processo de inteligência organizacional.
Sobre o tripé dados, informação e conhecimento, é incorreto afirmar que
 

Provas

Questão presente nas seguintes provas