Foram encontradas 632 questões.
O processo de soldagem com eletrodos revestidos é um processo a arco onde a união entre as peças é produzida pelo calor do arco gerado entre o eletrodo e a peça a ser soldada. Considere as afirmações abaixo a respeito deste processo:
I. A intensidade da corrente de soldagem tem grande influência na taxa de deposição, para dadas condições fixas de soldagem.
II. A proteção da solda se dá pelo fluxo de gás hélio e pela própria escória.
III. É um processo simples, versátil e de baixo custo, mas não aplicável para a soldagem na posição sobrecabeça.
Está correto o que se consta em
Provas
Provas
Provas
Com relação à fadiga de materiais de construção mecânica, analise as afirmações seguintes:
I. Eliminar descontinuidades na superfície da peça.
II. Polir a peça visando melhorar o acabamento superficial.
III. Jateamento, com o intuito de gerar tensões residuais de compressão na superfície da peça.
IV. Processos de carbonetação ou nitretação, visando o endurecimento da camada superficial da peça.
As ações acima que podem contribuir para prolongar a vida em fadiga de peças metálicas são:
Provas
Provas
A figura abaixo mostra o sistema de controle para programação da temperatura de água quente usando a temperatura do ar externo para aplicação em ar condicionado. A válvula na linha de vapor (tipo normalmente aberta – N.A.) que serve um aquecedor de água quente deve ser regulada de modo que a temperatura da água que deixa o aquecedor seja programada com base na temperatura do ar externo, de acordo com a variação linear:

A faixa do transmissor de temperatura na linha de água quente é de 30 a 100 °C e a do transmissor de temperatura do ar externo é de −30 a 30 °C, ambos proporcionando pressões de ar na faixa de 20 a 100 kPa. Considere a faixa de regulagem 4 K:

O ganho e o tipo de ação do controlador são, respectivamente,
Provas
A figura abaixo mostra o controle da temperatura do ar em uma serpentina de aquecimento alimentada por água quente através de uma válvula. O sistema consiste em um transdutor de temperatura, um controlador e a válvula de água. A faixa de temperatura do transdutor é de 10 a 65 °C proporcionando uma faixa de pressão de 20 a 100 kPa. O controlador é ajustado para um ganho de 5 para 1 e a faixa de variação de mola da válvula da água quente é de 60 a 80 kPa:

A faixa de pressão, em kPa, do transdutor de temperatura é:
Provas
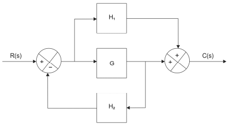
Considere o diagrama de blocos de um sistema de controle mostrado na figura abaixo:

A função de transferência do sistema acima é:
Provas
Um sistema linear invariante no tempo que atua no controle automático de um processo é modelado, no domínio do tempo, pela seguinte equação diferencial:

e condições quiescentes. O diagrama do sistema é mostrado abaixo, onde o sinal h(t) é a resposta do sistema ao impulso unitário.

Com relação a estabilidade do sistema é correto afirmar que o sistema é
Provas
Sistema de Proteção contra Descargas Atmosféricas tem sua configuração apresentada no fluxograma abaixo:

Um projeto de manutenção predial contempla a verificação dos componentes apresentados no fluxograma. Com relação aos componentes abaixo:
I. Gaiola de Faraday
II. Estruturas metálicas prediais
III. Múltiplos eletrodos verticais
É correto afirmar que:
Provas
Caderno Container