Foram encontradas 65 questões.

Provas
Questão presente nas seguintes provas
The internet vigilantes: Anonymous hackers' group outs man, 32, 'who drove girl, 15, to suicide by spreading topless photos of her'
Anonymous has named a man it claims posted topless pictures of a 15-year-old girl online and harassed her so relentlessly that she killed herself.
Amanda Todd, from Vancouver, Canada, was found hanged in her home on October 10, just weeks after she uploaded a video to YouTube detailing her horrific treatment at the hands of cyber bullies.
When she was just 12, a man in an internet chat room convinced her to flash her breasts, and a year later, he plastered a picture of the incident across Facebook.
Now in a vigilante move, Anonymous, the world's largest hacking group, has named the man allegedly responsible for the picture.
The group claims that he is a 32-year-old from British Columbia, but MailOnline has chosen not to identify him for legal reasons
As Todd's supporters set up Facebook pages warning the man to 'sleep with one eye open', the move by Anonymous sparks concerns over its abilities to create a 'trial by internet' - bypassing the justice system and casting guilt.
In a video posted to YouTube by Anonymous, a figure claims the group lists his personal information, including his date of birth and address
It explains that his username appears on websites where he 'blackmailed' and gave advice to young girls. The same username is also tied to a website with a 'jailbait' photo gallery. '[He] is an abomination to our society, and will be punished,' the Anonymous figure says.
Referring to the possibility they might have the wrong man, they add: 'At the most this is the person who did this to Amanda Todd, and at the least it's another pedophile that enjoys taking advantage of children.'
Following Anonymous' announcement, the web moved swiftly, with groups calling for his death and warning him to 'sleep with one eye open' cropping up on Facebook.
CKNW reporters have unsuccessfully tried to speak with the man, and neighbours have described his home as 'a known party house on the weekend with lots of young women coming and going'.
But police attended the home on Monday after a neighbour, Chyne Simpson, said Anonymous named the wrong address. He said he felt threatened by internet users and asked them to stay away.
The Royal Canadian Mounted Police refused to confirm Anonymous have the right man but a spokesperson said they were aware that someone had been named.
'We are aware of what's being posted online and certainly following up what we feel is important to follow up,' Sergeant Peter Thiessen told The Globe and Mail, adding: '[Vigilantes] run the risk of committing a criminal offence.'
Todd's family members also said they are not sure the Anonymous report is accurate and said police have tracked down a person living in the U.S. whom they believed was involved.
The claims come weeks after Amanda posted a nearly nine-minute YouTube video detailing her treatment on a stack of notecards held up to the camera.
Todd says that a year after she flashed her breasts, the man tracked her down and demanded he put on a show for him or he would expose her.
When she refused, he created a Facebook page with a list of her friends and used her naked chest as the profile photo. The picture quickly spread across the internet and among her classmates.
It led to relentless bullying online, she said, and she was diagnosed with depression and started drinking. In the video, posted September 7, she admitted that she had previously tried to kill herself twice and has been hospitalised.
After moving to a different city and school, another instance of bullying occurred after she started a romantic relationship with an older man who had a girlfriend. Once that relationship soured, she was confronted and beaten up by the man's girlfriend. She was hit in front of a crowd of screaming people who encouraged her to be left in a ditch.
Amanda does not speak in the video, and her face is not fully shown, but she confirmed her identity with the last notecard which says her name.
One of the final images is a jarring picture of her arm which had been cut repeatedly. Just under six weeks after posting the video, Todd could take the bullying no longer, and took her own life.
During a memorial for Todd on Monday, her friends said they have been aware of a man in his 30s 'stalking' their friend for years.
'There were multiple accounts with random names,' one friend told QMI Agency. 'There were Twitter accounts also used.' The Vancouver Sun reported that Amanda was a student in Grade 10 at the Coquitlam Basic Alternative Education school. The principal of the school confirmed her death and said that she had become connected with many since she transferred to the school in the middle of last year.
'It is a very sad case,' Paul McNaughton told the paper. 'I can tell you we feel we tried everything we could to help her when she came to us.'
Her death prompted a local politician to release a video of her own that pleads to put an end to bullying.
'I just heard about Amanda. I want to say to everyone who loved her, to all her family and friends, how sorry I am about her loss,' British Columbia premier Christy Clark said.
'No one deserves to be bullied. No one earns it. No one asks for it. It isn't a rite of passage. Bullying has to stop.'
http://www.dailymail.co.uk/news/article-2218532/Amanda-Todd-Anonymous-names-man-drove- teen-kill-spreading-nude-pictures.html
The alternative that brings the best synonym in its base form to the bold underlined word in the text page “Anonymous has named a man it claims posted topless pictures of a 15-year-old girl online and harassed her so relentlessly that she killed herself." is:Anonymous has named a man it claims posted topless pictures of a 15-year-old girl online and harassed her so relentlessly that she killed herself.
Amanda Todd, from Vancouver, Canada, was found hanged in her home on October 10, just weeks after she uploaded a video to YouTube detailing her horrific treatment at the hands of cyber bullies.
When she was just 12, a man in an internet chat room convinced her to flash her breasts, and a year later, he plastered a picture of the incident across Facebook.
Now in a vigilante move, Anonymous, the world's largest hacking group, has named the man allegedly responsible for the picture.
The group claims that he is a 32-year-old from British Columbia, but MailOnline has chosen not to identify him for legal reasons
As Todd's supporters set up Facebook pages warning the man to 'sleep with one eye open', the move by Anonymous sparks concerns over its abilities to create a 'trial by internet' - bypassing the justice system and casting guilt.
In a video posted to YouTube by Anonymous, a figure claims the group lists his personal information, including his date of birth and address
It explains that his username appears on websites where he 'blackmailed' and gave advice to young girls. The same username is also tied to a website with a 'jailbait' photo gallery. '[He] is an abomination to our society, and will be punished,' the Anonymous figure says.
Referring to the possibility they might have the wrong man, they add: 'At the most this is the person who did this to Amanda Todd, and at the least it's another pedophile that enjoys taking advantage of children.'
Following Anonymous' announcement, the web moved swiftly, with groups calling for his death and warning him to 'sleep with one eye open' cropping up on Facebook.
CKNW reporters have unsuccessfully tried to speak with the man, and neighbours have described his home as 'a known party house on the weekend with lots of young women coming and going'.
But police attended the home on Monday after a neighbour, Chyne Simpson, said Anonymous named the wrong address. He said he felt threatened by internet users and asked them to stay away.
The Royal Canadian Mounted Police refused to confirm Anonymous have the right man but a spokesperson said they were aware that someone had been named.
'We are aware of what's being posted online and certainly following up what we feel is important to follow up,' Sergeant Peter Thiessen told The Globe and Mail, adding: '[Vigilantes] run the risk of committing a criminal offence.'
Todd's family members also said they are not sure the Anonymous report is accurate and said police have tracked down a person living in the U.S. whom they believed was involved.
The claims come weeks after Amanda posted a nearly nine-minute YouTube video detailing her treatment on a stack of notecards held up to the camera.
Todd says that a year after she flashed her breasts, the man tracked her down and demanded he put on a show for him or he would expose her.
When she refused, he created a Facebook page with a list of her friends and used her naked chest as the profile photo. The picture quickly spread across the internet and among her classmates.
It led to relentless bullying online, she said, and she was diagnosed with depression and started drinking. In the video, posted September 7, she admitted that she had previously tried to kill herself twice and has been hospitalised.
After moving to a different city and school, another instance of bullying occurred after she started a romantic relationship with an older man who had a girlfriend. Once that relationship soured, she was confronted and beaten up by the man's girlfriend. She was hit in front of a crowd of screaming people who encouraged her to be left in a ditch.
Amanda does not speak in the video, and her face is not fully shown, but she confirmed her identity with the last notecard which says her name.
One of the final images is a jarring picture of her arm which had been cut repeatedly. Just under six weeks after posting the video, Todd could take the bullying no longer, and took her own life.
During a memorial for Todd on Monday, her friends said they have been aware of a man in his 30s 'stalking' their friend for years.
'There were multiple accounts with random names,' one friend told QMI Agency. 'There were Twitter accounts also used.' The Vancouver Sun reported that Amanda was a student in Grade 10 at the Coquitlam Basic Alternative Education school. The principal of the school confirmed her death and said that she had become connected with many since she transferred to the school in the middle of last year.
'It is a very sad case,' Paul McNaughton told the paper. 'I can tell you we feel we tried everything we could to help her when she came to us.'
Her death prompted a local politician to release a video of her own that pleads to put an end to bullying.
'I just heard about Amanda. I want to say to everyone who loved her, to all her family and friends, how sorry I am about her loss,' British Columbia premier Christy Clark said.
'No one deserves to be bullied. No one earns it. No one asks for it. It isn't a rite of passage. Bullying has to stop.'
http://www.dailymail.co.uk/news/article-2218532/Amanda-Todd-Anonymous-names-man-drove- teen-kill-spreading-nude-pictures.html
Provas
Questão presente nas seguintes provas

Provas
Questão presente nas seguintes provas
The internet vigilantes: Anonymous hackers' group outs man, 32, 'who drove girl, 15, to suicide by spreading topless photos of her'
Anonymous has named a man it claims posted topless pictures of a 15-year-old girl online and harassed her so relentlessly that she killed herself.
Amanda Todd, from Vancouver, Canada, was found hanged in her home on October 10, just weeks after she uploaded a video to YouTube detailing her horrific treatment at the hands of cyber bullies.
When she was just 12, a man in an internet chat room convinced her to flash her breasts, and a year later, he plastered a picture of the incident across Facebook.
Now in a vigilante move, Anonymous, the world's largest hacking group, has named the man allegedly responsible for the picture.
The group claims that he is a 32-year-old from British Columbia, but MailOnline has chosen not to identify him for legal reasons
As Todd's supporters set up Facebook pages warning the man to 'sleep with one eye open', the move by Anonymous sparks concerns over its abilities to create a 'trial by internet' - bypassing the justice system and casting guilt.
In a video posted to YouTube by Anonymous, a figure claims the group lists his personal information, including his date of birth and address
It explains that his username appears on websites where he 'blackmailed' and gave advice to young girls. The same username is also tied to a website with a 'jailbait' photo gallery. '[He] is an abomination to our society, and will be punished,' the Anonymous figure says.
Referring to the possibility they might have the wrong man, they add: 'At the most this is the person who did this to Amanda Todd, and at the least it's another pedophile that enjoys taking advantage of children.'
Following Anonymous' announcement, the web moved swiftly, with groups calling for his death and warning him to 'sleep with one eye open' cropping up on Facebook.
CKNW reporters have unsuccessfully tried to speak with the man, and neighbours have described his home as 'a known party house on the weekend with lots of young women coming and going'.
But police attended the home on Monday after a neighbour, Chyne Simpson, said Anonymous named the wrong address. He said he felt threatened by internet users and asked them to stay away.
The Royal Canadian Mounted Police refused to confirm Anonymous have the right man but a spokesperson said they were aware that someone had been named.
'We are aware of what's being posted online and certainly following up what we feel is important to follow up,' Sergeant Peter Thiessen told The Globe and Mail, adding: '[Vigilantes] run the risk of committing a criminal offence.'
Todd's family members also said they are not sure the Anonymous report is accurate and said police have tracked down a person living in the U.S. whom they believed was involved.
The claims come weeks after Amanda posted a nearly nine-minute YouTube video detailing her treatment on a stack of notecards held up to the camera.
Todd says that a year after she flashed her breasts, the man tracked her down and demanded he put on a show for him or he would expose her.
When she refused, he created a Facebook page with a list of her friends and used her naked chest as the profile photo. The picture quickly spread across the internet and among her classmates.
It led to relentless bullying online, she said, and she was diagnosed with depression and started drinking. In the video, posted September 7, she admitted that she had previously tried to kill herself twice and has been hospitalised.
After moving to a different city and school, another instance of bullying occurred after she started a romantic relationship with an older man who had a girlfriend. Once that relationship soured, she was confronted and beaten up by the man's girlfriend. She was hit in front of a crowd of screaming people who encouraged her to be left in a ditch.
Amanda does not speak in the video, and her face is not fully shown, but she confirmed her identity with the last notecard which says her name.
One of the final images is a jarring picture of her arm which had been cut repeatedly. Just under six weeks after posting the video, Todd could take the bullying no longer, and took her own life.
During a memorial for Todd on Monday, her friends said they have been aware of a man in his 30s 'stalking' their friend for years.
'There were multiple accounts with random names,' one friend told QMI Agency. 'There were Twitter accounts also used.' The Vancouver Sun reported that Amanda was a student in Grade 10 at the Coquitlam Basic Alternative Education school. The principal of the school confirmed her death and said that she had become connected with many since she transferred to the school in the middle of last year.
'It is a very sad case,' Paul McNaughton told the paper. 'I can tell you we feel we tried everything we could to help her when she came to us.'
Her death prompted a local politician to release a video of her own that pleads to put an end to bullying.
'I just heard about Amanda. I want to say to everyone who loved her, to all her family and friends, how sorry I am about her loss,' British Columbia premier Christy Clark said.
'No one deserves to be bullied. No one earns it. No one asks for it. It isn't a rite of passage. Bullying has to stop.'
http://www.dailymail.co.uk/news/article-2218532/Amanda-Todd-Anonymous-names-man-drove- teen-kill-spreading-nude-pictures.html
The text page Amanda Todd was found hanged in her home on October 1 0, if written in active voice would be:Anonymous has named a man it claims posted topless pictures of a 15-year-old girl online and harassed her so relentlessly that she killed herself.
Amanda Todd, from Vancouver, Canada, was found hanged in her home on October 10, just weeks after she uploaded a video to YouTube detailing her horrific treatment at the hands of cyber bullies.
When she was just 12, a man in an internet chat room convinced her to flash her breasts, and a year later, he plastered a picture of the incident across Facebook.
Now in a vigilante move, Anonymous, the world's largest hacking group, has named the man allegedly responsible for the picture.
The group claims that he is a 32-year-old from British Columbia, but MailOnline has chosen not to identify him for legal reasons
As Todd's supporters set up Facebook pages warning the man to 'sleep with one eye open', the move by Anonymous sparks concerns over its abilities to create a 'trial by internet' - bypassing the justice system and casting guilt.
In a video posted to YouTube by Anonymous, a figure claims the group lists his personal information, including his date of birth and address
It explains that his username appears on websites where he 'blackmailed' and gave advice to young girls. The same username is also tied to a website with a 'jailbait' photo gallery. '[He] is an abomination to our society, and will be punished,' the Anonymous figure says.
Referring to the possibility they might have the wrong man, they add: 'At the most this is the person who did this to Amanda Todd, and at the least it's another pedophile that enjoys taking advantage of children.'
Following Anonymous' announcement, the web moved swiftly, with groups calling for his death and warning him to 'sleep with one eye open' cropping up on Facebook.
CKNW reporters have unsuccessfully tried to speak with the man, and neighbours have described his home as 'a known party house on the weekend with lots of young women coming and going'.
But police attended the home on Monday after a neighbour, Chyne Simpson, said Anonymous named the wrong address. He said he felt threatened by internet users and asked them to stay away.
The Royal Canadian Mounted Police refused to confirm Anonymous have the right man but a spokesperson said they were aware that someone had been named.
'We are aware of what's being posted online and certainly following up what we feel is important to follow up,' Sergeant Peter Thiessen told The Globe and Mail, adding: '[Vigilantes] run the risk of committing a criminal offence.'
Todd's family members also said they are not sure the Anonymous report is accurate and said police have tracked down a person living in the U.S. whom they believed was involved.
The claims come weeks after Amanda posted a nearly nine-minute YouTube video detailing her treatment on a stack of notecards held up to the camera.
Todd says that a year after she flashed her breasts, the man tracked her down and demanded he put on a show for him or he would expose her.
When she refused, he created a Facebook page with a list of her friends and used her naked chest as the profile photo. The picture quickly spread across the internet and among her classmates.
It led to relentless bullying online, she said, and she was diagnosed with depression and started drinking. In the video, posted September 7, she admitted that she had previously tried to kill herself twice and has been hospitalised.
After moving to a different city and school, another instance of bullying occurred after she started a romantic relationship with an older man who had a girlfriend. Once that relationship soured, she was confronted and beaten up by the man's girlfriend. She was hit in front of a crowd of screaming people who encouraged her to be left in a ditch.
Amanda does not speak in the video, and her face is not fully shown, but she confirmed her identity with the last notecard which says her name.
One of the final images is a jarring picture of her arm which had been cut repeatedly. Just under six weeks after posting the video, Todd could take the bullying no longer, and took her own life.
During a memorial for Todd on Monday, her friends said they have been aware of a man in his 30s 'stalking' their friend for years.
'There were multiple accounts with random names,' one friend told QMI Agency. 'There were Twitter accounts also used.' The Vancouver Sun reported that Amanda was a student in Grade 10 at the Coquitlam Basic Alternative Education school. The principal of the school confirmed her death and said that she had become connected with many since she transferred to the school in the middle of last year.
'It is a very sad case,' Paul McNaughton told the paper. 'I can tell you we feel we tried everything we could to help her when she came to us.'
Her death prompted a local politician to release a video of her own that pleads to put an end to bullying.
'I just heard about Amanda. I want to say to everyone who loved her, to all her family and friends, how sorry I am about her loss,' British Columbia premier Christy Clark said.
'No one deserves to be bullied. No one earns it. No one asks for it. It isn't a rite of passage. Bullying has to stop.'
http://www.dailymail.co.uk/news/article-2218532/Amanda-Todd-Anonymous-names-man-drove- teen-kill-spreading-nude-pictures.html
Provas
Questão presente nas seguintes provas

Provas
Questão presente nas seguintes provas
The internet vigilantes: Anonymous hackers' group outs man, 32, 'who drove girl, 15, to suicide by spreading topless photos of her'
Anonymous has named a man it claims posted topless pictures of a 15-year-old girl online and harassed her so relentlessly that she killed herself.
Amanda Todd, from Vancouver, Canada, was found hanged in her home on October 10, just weeks after she uploaded a video to YouTube detailing her horrific treatment at the hands of cyber bullies.
When she was just 12, a man in an internet chat room convinced her to flash her breasts, and a year later, he plastered a picture of the incident across Facebook.
Now in a vigilante move, Anonymous, the world's largest hacking group, has named the man allegedly responsible for the picture.
The group claims that he is a 32-year-old from British Columbia, but MailOnline has chosen not to identify him for legal reasons
As Todd's supporters set up Facebook pages warning the man to 'sleep with one eye open', the move by Anonymous sparks concerns over its abilities to create a 'trial by internet' - bypassing the justice system and casting guilt.
In a video posted to YouTube by Anonymous, a figure claims the group lists his personal information, including his date of birth and address
It explains that his username appears on websites where he 'blackmailed' and gave advice to young girls. The same username is also tied to a website with a 'jailbait' photo gallery. '[He] is an abomination to our society, and will be punished,' the Anonymous figure says.
Referring to the possibility they might have the wrong man, they add: 'At the most this is the person who did this to Amanda Todd, and at the least it's another pedophile that enjoys taking advantage of children.'
Following Anonymous' announcement, the web moved swiftly, with groups calling for his death and warning him to 'sleep with one eye open' cropping up on Facebook.
CKNW reporters have unsuccessfully tried to speak with the man, and neighbours have described his home as 'a known party house on the weekend with lots of young women coming and going'.
But police attended the home on Monday after a neighbour, Chyne Simpson, said Anonymous named the wrong address. He said he felt threatened by internet users and asked them to stay away.
The Royal Canadian Mounted Police refused to confirm Anonymous have the right man but a spokesperson said they were aware that someone had been named.
'We are aware of what's being posted online and certainly following up what we feel is important to follow up,' Sergeant Peter Thiessen told The Globe and Mail, adding: '[Vigilantes] run the risk of committing a criminal offence.'
Todd's family members also said they are not sure the Anonymous report is accurate and said police have tracked down a person living in the U.S. whom they believed was involved.
The claims come weeks after Amanda posted a nearly nine-minute YouTube video detailing her treatment on a stack of notecards held up to the camera.
Todd says that a year after she flashed her breasts, the man tracked her down and demanded he put on a show for him or he would expose her.
When she refused, he created a Facebook page with a list of her friends and used her naked chest as the profile photo. The picture quickly spread across the internet and among her classmates.
It led to relentless bullying online, she said, and she was diagnosed with depression and started drinking. In the video, posted September 7, she admitted that she had previously tried to kill herself twice and has been hospitalised.
After moving to a different city and school, another instance of bullying occurred after she started a romantic relationship with an older man who had a girlfriend. Once that relationship soured, she was confronted and beaten up by the man's girlfriend. She was hit in front of a crowd of screaming people who encouraged her to be left in a ditch.
Amanda does not speak in the video, and her face is not fully shown, but she confirmed her identity with the last notecard which says her name.
One of the final images is a jarring picture of her arm which had been cut repeatedly. Just under six weeks after posting the video, Todd could take the bullying no longer, and took her own life.
During a memorial for Todd on Monday, her friends said they have been aware of a man in his 30s 'stalking' their friend for years.
'There were multiple accounts with random names,' one friend told QMI Agency. 'There were Twitter accounts also used.' The Vancouver Sun reported that Amanda was a student in Grade 10 at the Coquitlam Basic Alternative Education school. The principal of the school confirmed her death and said that she had become connected with many since she transferred to the school in the middle of last year.
'It is a very sad case,' Paul McNaughton told the paper. 'I can tell you we feel we tried everything we could to help her when she came to us.'
Her death prompted a local politician to release a video of her own that pleads to put an end to bullying.
'I just heard about Amanda. I want to say to everyone who loved her, to all her family and friends, how sorry I am about her loss,' British Columbia premier Christy Clark said.
'No one deserves to be bullied. No one earns it. No one asks for it. It isn't a rite of passage. Bullying has to stop.'
http://www.dailymail.co.uk/news/article-2218532/Amanda-Todd-Anonymous-names-man-drove- teen-kill-spreading-nude-pictures.html
In the text page “One of the final images is a jarring picture of her arm which had been cut repeatedly. Just under six weeks after posting the video, Todd could take the bullying no longer, and took her own life”, the bold underlined word is:Anonymous has named a man it claims posted topless pictures of a 15-year-old girl online and harassed her so relentlessly that she killed herself.
Amanda Todd, from Vancouver, Canada, was found hanged in her home on October 10, just weeks after she uploaded a video to YouTube detailing her horrific treatment at the hands of cyber bullies.
When she was just 12, a man in an internet chat room convinced her to flash her breasts, and a year later, he plastered a picture of the incident across Facebook.
Now in a vigilante move, Anonymous, the world's largest hacking group, has named the man allegedly responsible for the picture.
The group claims that he is a 32-year-old from British Columbia, but MailOnline has chosen not to identify him for legal reasons
As Todd's supporters set up Facebook pages warning the man to 'sleep with one eye open', the move by Anonymous sparks concerns over its abilities to create a 'trial by internet' - bypassing the justice system and casting guilt.
In a video posted to YouTube by Anonymous, a figure claims the group lists his personal information, including his date of birth and address
It explains that his username appears on websites where he 'blackmailed' and gave advice to young girls. The same username is also tied to a website with a 'jailbait' photo gallery. '[He] is an abomination to our society, and will be punished,' the Anonymous figure says.
Referring to the possibility they might have the wrong man, they add: 'At the most this is the person who did this to Amanda Todd, and at the least it's another pedophile that enjoys taking advantage of children.'
Following Anonymous' announcement, the web moved swiftly, with groups calling for his death and warning him to 'sleep with one eye open' cropping up on Facebook.
CKNW reporters have unsuccessfully tried to speak with the man, and neighbours have described his home as 'a known party house on the weekend with lots of young women coming and going'.
But police attended the home on Monday after a neighbour, Chyne Simpson, said Anonymous named the wrong address. He said he felt threatened by internet users and asked them to stay away.
The Royal Canadian Mounted Police refused to confirm Anonymous have the right man but a spokesperson said they were aware that someone had been named.
'We are aware of what's being posted online and certainly following up what we feel is important to follow up,' Sergeant Peter Thiessen told The Globe and Mail, adding: '[Vigilantes] run the risk of committing a criminal offence.'
Todd's family members also said they are not sure the Anonymous report is accurate and said police have tracked down a person living in the U.S. whom they believed was involved.
The claims come weeks after Amanda posted a nearly nine-minute YouTube video detailing her treatment on a stack of notecards held up to the camera.
Todd says that a year after she flashed her breasts, the man tracked her down and demanded he put on a show for him or he would expose her.
When she refused, he created a Facebook page with a list of her friends and used her naked chest as the profile photo. The picture quickly spread across the internet and among her classmates.
It led to relentless bullying online, she said, and she was diagnosed with depression and started drinking. In the video, posted September 7, she admitted that she had previously tried to kill herself twice and has been hospitalised.
After moving to a different city and school, another instance of bullying occurred after she started a romantic relationship with an older man who had a girlfriend. Once that relationship soured, she was confronted and beaten up by the man's girlfriend. She was hit in front of a crowd of screaming people who encouraged her to be left in a ditch.
Amanda does not speak in the video, and her face is not fully shown, but she confirmed her identity with the last notecard which says her name.
One of the final images is a jarring picture of her arm which had been cut repeatedly. Just under six weeks after posting the video, Todd could take the bullying no longer, and took her own life.
During a memorial for Todd on Monday, her friends said they have been aware of a man in his 30s 'stalking' their friend for years.
'There were multiple accounts with random names,' one friend told QMI Agency. 'There were Twitter accounts also used.' The Vancouver Sun reported that Amanda was a student in Grade 10 at the Coquitlam Basic Alternative Education school. The principal of the school confirmed her death and said that she had become connected with many since she transferred to the school in the middle of last year.
'It is a very sad case,' Paul McNaughton told the paper. 'I can tell you we feel we tried everything we could to help her when she came to us.'
Her death prompted a local politician to release a video of her own that pleads to put an end to bullying.
'I just heard about Amanda. I want to say to everyone who loved her, to all her family and friends, how sorry I am about her loss,' British Columbia premier Christy Clark said.
'No one deserves to be bullied. No one earns it. No one asks for it. It isn't a rite of passage. Bullying has to stop.'
http://www.dailymail.co.uk/news/article-2218532/Amanda-Todd-Anonymous-names-man-drove- teen-kill-spreading-nude-pictures.html
Provas
Questão presente nas seguintes provas
- Gramática - Língua InglesaAdvérbios e conjunções | Adverbs and conjunctions
- Gramática - Língua InglesaPalavras conectivas | Connective words
In each of the following text pages, a connective is missing.
I. “Six months ago, saving Libya from potential atrocities inspired by Moammar Gadhafi meant establishing a no- fly zone over the country, all the better to protect Benghazi, the rebel stronghold in the east. classic mission creep set in and the NATO forces, Canada among them, were bombing Tripoli and clearly trying to eliminate Africa’s longest-standing dictator and his sons (while denying that was the goal).”
II. “Like all early civilisations Ancient Greece was an agricultural society. Most of the people lived by farming and the main form of wealth was owning land. In each city there was an upper class and a middle class of men like substantial farmers, doctors and teachers. the vast majority of people were peasants and craftsmen or slaves. Slavery was common. (It is estimated that about 30% of the population of Athens was made up of slaves). If they worked in rich peoples homes slaves could be reasonably treated. However by law owners were allowed to flog slaves. Those slaves who worked in mines probably suffered the most.”
III. “Older people are facing a scarcity of qualified nurses to care for them the Government changes its policy on undergraduate education, a leading nursing organisation has warned. The All-Ireland Gerontological Nurses Association (AIGNa) is calling for the urgent introduction of specialised nursing degree courses in care for older people – as an estimated 700 jobs remain unfilled in the sector.”
The alternative that respectively brings the correct connective for each one is:
I. “Six months ago, saving Libya from potential atrocities inspired by Moammar Gadhafi meant establishing a no- fly zone over the country, all the better to protect Benghazi, the rebel stronghold in the east. classic mission creep set in and the NATO forces, Canada among them, were bombing Tripoli and clearly trying to eliminate Africa’s longest-standing dictator and his sons (while denying that was the goal).”
II. “Like all early civilisations Ancient Greece was an agricultural society. Most of the people lived by farming and the main form of wealth was owning land. In each city there was an upper class and a middle class of men like substantial farmers, doctors and teachers. the vast majority of people were peasants and craftsmen or slaves. Slavery was common. (It is estimated that about 30% of the population of Athens was made up of slaves). If they worked in rich peoples homes slaves could be reasonably treated. However by law owners were allowed to flog slaves. Those slaves who worked in mines probably suffered the most.”
III. “Older people are facing a scarcity of qualified nurses to care for them the Government changes its policy on undergraduate education, a leading nursing organisation has warned. The All-Ireland Gerontological Nurses Association (AIGNa) is calling for the urgent introduction of specialised nursing degree courses in care for older people – as an estimated 700 jobs remain unfilled in the sector.”
The alternative that respectively brings the correct connective for each one is:
Provas
Questão presente nas seguintes provas
- FundamentosOperações Fundamentais
- FundamentosRazão e Proporção
- FundamentosNúmeros Primos e Divisibilidade
Sejam as afirmações:
I) A soma entre dois números irracionais é sempre um número irracional.
II) Toda dízima periódica pode ser escrita com uma fração de denominador e numerador inteiros.
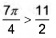
III)
Pode-se dizer que:
I) A soma entre dois números irracionais é sempre um número irracional.
II) Toda dízima periódica pode ser escrita com uma fração de denominador e numerador inteiros.
III)
Pode-se dizer que:
Provas
Questão presente nas seguintes provas
As alturas de 8 pessoas de uma mesma família são dadas abaixo:
1,68; 1,70; 1,85; 1,72; 1,80; 1,65; 1,70; 1,90
A soma entre a moda, média e mediana das alturas dessas 8 pessoas é igual a:
1,68; 1,70; 1,85; 1,72; 1,80; 1,65; 1,70; 1,90
A soma entre a moda, média e mediana das alturas dessas 8 pessoas é igual a:
Provas
Questão presente nas seguintes provas

Provas
Questão presente nas seguintes provas
Cadernos
Caderno Container