Foram encontradas 520 questões.
Uma pesquisa pretende analisar o desempenho dos alunos do terceiro ano do Colégio Pedro II na prova de Matemática do ENEM.
Para isso será coletada uma amostra
Provas
Uma seguradora trabalha com dois tipos de seguro, A e B. Para avaliar a relação entre o preço e o tipo de seguro, coletou-se uma amostra com os preços de 40 apólices de seguros do tipo A e 60 apólices do tipo B. Os preços foram classificados em baixo, médio e alto. Para o seguro A, as quantidades nas classes baixo, médio e alto, foram respectivamente 25, 5 e 10 e, para o seguro B, 15, 20 e 25.
É INCORRETO afirmar que
Provas
Com objetivo de investigar a incidência de depressão em adolescentes, uma equipe de psicólogos avaliou um conjunto de 40 estudantes de 4 campi do Colégio Pedro II por meio da Escala de Hamilton*, uma escala de depressão com 17 itens. Os escores, segundo essa escala, podem variar de 0 a 52 para cada pessoa avaliada. Os escores obtidos para essa amostra são apresentados na tabela a seguir.

Ao realizar a comparação entre os escores nos 4 campi, é correto afirmar que o teste mais adequado é o
Provas
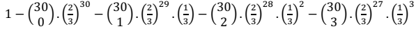
Considere que o tempo, em horas, de realização de uma prova em uma turma de mestrado com 30 estudantes, seja uma variável aleatória com distribuição Uniforme no intervalo [2; 3,5].
A probabilidade de que pelo menos 3 estudantes desta turma precisem de mais de 3 horas para a realização da prova é
Provas
Com relação aos resíduos do modelo, é correto afirmar que
Provas
- Estatística DescritivaMedidas de Tendência CentralQuartil, Decil e Percentil
- Estatística InferencialTeste de Hipóteses
- Estatística InferencialIntervalos de confiança
Com o objetivo de avaliar a relação entre as notas de Física, Matemática e Português, foram coletadas notas de 60 estudantes do terceiro ano do ensino médio do Campus Tijuca II do Colégio Pedro II. Um modelo de regressão linear múltipla foi definido para relacionar a nota de Física à nota de Matemática e à nota de Português:
Y = β0 + β1X1 + β2X2 + ε
Onde Y=Nota de Física, X1=Nota de Matemática e X2=Nota de Português.
Foram obtidos os seguintes resultados:

Provas
A relação dos custos da Secretaria de Educação do estado do Rio de Janeiro no mês de julho contém os custos de 102 itens relacionados a materiais, serviços e pessoal. Uma análise fatorial foi realizada e a tabela a seguir apresenta os resultados:

Com relação à análise fatorial realizada, foram feitas as seguintes afirmações:
I. A proporção da variância total explicada pela solução em dois fatores é igual a um fator.
II. As cargas estimadas dos fatores são os coeficientes dos componentes principais, redimensionadas pelos correspondentes autovalores.
III. O primeiro fator pode representar condições econômicas gerais sobre os custos pois, todos os custos têm cargas altas nesse fator.
IV. Os custos podem ser determinados por condições econômicas gerais e também por sua origem.
Estão corretas
Provas
Um estudo sobre o nível glicêmico de funcionários avaliou um conjunto de 28 funcionários que foram divididos por faixa etária. Um modelo de análise de variância foi definido para comparar a glicemia entre as faixas etárias:
Yij = μ +
+ εij
onde Yij = Nível de glicemia para a j-ésima pessoa na i-ésima faixa etária, μ = média global do nível de glicemia,
parâmetro
associado à i-ésima faixa etária.
Os dados de concentração são apresentados na tabela a seguir:

Sobre os dados obtidos, é correto afirmar que
Provas
Sobre os estimadores, é correto afirmar que
Provas
- Estatística DescritivaDistribuições de Frequências
- Estatística DescritivaMedidas de Tendência Central
Em 3 turmas de um mesmo nível de um curso de inglês, mas em turnos diferentes, coletaram-se dados sobre as idades dos estudantes. A tabela a seguir apresenta as frequências acumuladas nos três grupos. A última linha apresenta o valor do desvio padrão.

Considere as afirmações a seguir:
I. A distribuição com menor média é a mesma que tem menor valor de mediana.
II. As distribuições B e C possuem mesmo valor para a mediana que é um número menor que a mediana da distribuição A.
III. A turma B foi a que apresentou maior dispersão relativa, ou seja, as idades da turma B apresentam maior variabilidade do que as turmas A e C.
O número exato de afirmativas corretas é
Provas
Caderno Container