Foram encontradas 1.357 questões.
Sobre o uso de recursos de uma região mineradora e a dinâmica de seu desenvolvimento socioeconômico, analise os itens a seguir, classificando-os como verdadeiro (V) ou falso (F).
( ) A exploração dos recursos de uma região mineradora pode causar impactos positivos e negativos no desenvolvimento socioeconômico. Historicamente, a exploração nem sempre considerou as necessidades sociais e ambientais, mas hoje há um movimento crescente em direção à sustentabilidade e à redução dos impactos negativos.
( ) A formação de um mecanismo econômico de gestão ambiental dá-se por meio da implementação de instrumentos de tributação ambiental.
( ) A forma geralmente aceita de limitar o aumento do impacto negativo da mineração sobre o meio ambiente por meio de instrumentos econômicos é a aplicação de impostos ambientais (taxas), com o estabelecimento do volume total de minério extraído como objeto de tributação.
A sequência correta de preenchimento dos parênteses, de cima para baixo, é
Provas
Considere uma bacia hidrográfica com 106,7 km² de área de drenagem, e com boa cobertura dos solos de grama. Calculou-se a parcela do escoamento superficial (Área A), igual a 711,6 m3/s, e o volume do escoamento básico, no mesmo período (Área B), igual a 320 m3/s. A chuva total foi de 30,0 mm.
Se a chuva efetiva foi calculada igual a 12 mm, o coeficiente de escoamento será
Provas
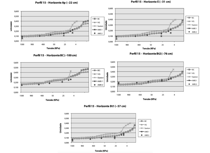
A infiltração é definida como a água que penetra e umedece o solo. As taxas infiltradas dependem da precipitação pluviométrica, mas também das propriedades físico-hídricas dos solos. A determinação dessas propriedades apresenta complexidade.
As funções de pedotransferência (pedotransfer functions, em inglês) foram propostas para simplificar a caracterização físico-hídrica dos solos e a obtenção das curvas de retenção e condutividade hidráulica. Estas funções são empíricas e correlacionam parâmetros físicos-hídricos dos solos com sua textura e teor da matéria orgânica. As propriedades de textura encontram maior disponibilidade ou são de fácil obtenção. Na literatura, os estudos de Saxton et al. (1986) e Rawls e Brakensiek (1982, 1989) são bastante citados.
Os gráficos a seguir referem-se às curvas de retenção obtidas por modelos de pedotransferência e pontos amostrais (AMS 1 e 2) de um estudo em uma Bacia Hidrográfica em São José do Ubá, RJ.

Na curva de retenção há dois pontos importantes que definem as umidades: a capacidade de campo e ponto de murcha. A primeira se refere ao potencial mátrico e ao conteúdo de umidade do solo relacionado à parada da drenagem interna. Já o ponto de murcha é definido como o conteúdo de umidade de solo, a partir da qual a água torna-se indisponível ao sistema radicular.
Nesse sentido, considerando as relações obtidas pelos modelos BC (Brooks e Corey), VG (van Genuchten) e Saxton, para o perfil 15 nos gráficos, assinale a opção que indica o(s) horizonte(s) com maior umidade no ponto de murcha.
Provas
Conforme estabelece a Lei nº 12.651, de 25 de maio de 2012 (conhecida como novo Código Florestal), considera-se Áreas de Preservação Permanente (APPs), em zonas rurais ou urbanas, as faixas marginais de qualquer curso d’água natural perene e intermitente, excluídos os efêmeros, desde a borda da calha do leito regular, em largura mínima de
Provas
A legislação ambiental brasileira estabelece instrumentos de proteção da vegetação nativa em propriedades privadas, como as Áreas de Preservação Permanente (APPs) e a Reserva Legal (RL). Esses instrumentos estão diretamente relacionados a conceitos ecológicos fundamentais, como manutenção da biodiversidade, estabilidade dos ecossistemas e serviços ambientais.
Com base nos princípios da Ecologia e na legislação vigente,
Provas
A leitura realizada em um tanque classe A em determinado dia foi de 22,5 mm a partir da borda do tanque. No dia seguinte, a leitura realizada indicou um valor de 23,5 mm.
Adotando o fator de correção do tanque igual a 0,70, e se nesse intervalo não ocorreu nenhuma chuva, é correto afirmar que a taxa de evaporação foi
Provas
Um evento de chuva de 15 mm e 4 horas de duração atingiu uma bacia hidrográfica com cobertura de florestas. A capacidade específica de interceptação foi de 0,2 mm.
| Tipo de Cobertura | IAF médio |
|---|---|
| Florestas | 6,0 |
| Campos e pastagem | 1,7 |
| Culturas agrícolas anuais | 3,6 |
| Savana | 3,0 |
Calcule a precipitação efetiva sobre o solo.
Provas
No que se refere ao conceito de manejo sustentável dos recursos naturais, analise os itens a seguir, classificando-os como verdadeiro (V) ou falso (F).
( ) Trata-se de um princípio essencialmente preservacionista, que defende a exclusão da atividade humana em áreas naturais para evitar qualquer forma de degradação.
( ) O manejo sustentável está alinhado à lógica conservacionista, ao permitir o uso controlado dos recursos naturais sem comprometer sua renovação e a integridade dos ecossistemas.
( ) Sua origem remonta a debates sobre áreas de uso múltiplo, mas o conceito se consolidou dentro do conservacionismo como uma resposta à necessidade de conciliar uso e conservação.
A sequência correta de preenchimento dos parênteses, de cima para baixo, é
Provas
Sobre os conceitos de biodiversidade e conservação ambiental, analise os itens a seguir.
I. O termo megadiversidade refere-se aos países com elevada variedade biológica, considerando a presença de espécies nativas em diferentes grupos taxonômicos.
II. Hotspots são áreas que combinam alta biodiversidade com alto grau de ameaça, sendo priorizadas em políticas de conservação.
III. A diversidade biológica pode ser avaliada em diferentes níveis, como diversidade genética, de espécies e de ecossistemas.
Está correto o que se afirma em
Provas
O estudo das máximas vazões anuais do Rio Formoso, em Jacutinga, Tocantins, realizado ao longo de 50 anos, revelou uma vazão média de 315 m³/s e um desvio padrão de aproximadamente 100 m³/s.
Admite-se que as cheias anuais seguem a distribuição de valores extremos, sendo que a variável reduzida (yₜ) correspondente ao período de retorno de 20 anos é 2,97.
A seguir, apresenta-se a Curva de Frequência das Cheias Anuais, ajustada aos dados observados no Rio Formoso (TO):

O valor da vazão de cheia (Qₜ) correspondente a um período de retorno de 20 anos é
Provas
Caderno Container