Foram encontradas 50 questões.
Uma bactéria se espalhava no ambiente em que estava seguindo uma função logarítmica F(x) = log2 x (x >1), em que x é o tempo medido em minutos e F(x) é a área que possui a presença da bactéria em m². Após 32 minutos, a área ocupada será de:
Provas
Questão presente nas seguintes provas
Sabe-se que o produto da idade de Miguel pela idade de Lucas é 500. Miguel é 5 anos mais velho que Lucas. Qual a soma das idades de Miguel e Lucas?
Provas
Questão presente nas seguintes provas
A metrologia anunciou que o dia de amanhã será frio, com algumas pancadas de chuva. A temperatura mínima prevista é A e a temperatura máxima é B. Sabendo que A e B são as raízes da equação x² - 26x + 160 = 0, podemos afirmar que A e B são respectivamente, em graus Celsius.
Provas
Questão presente nas seguintes provas
Ao receber seu salário, Nilson usou 3/10 deste para pagar contas, 1/10 com alimentação e mais 1/10 com despesas de hospitalares. Sabendo que Nilson ganha R$ 5.000,00, quanto lhe sobrou após tais pagamentos?
Provas
Questão presente nas seguintes provas
Após diversos dias de pesquisa, uma equipe médica chegou à função A(x) = - x² + 10x -16 que retorna o aproveitamento (em pontos) de um atleta, e que x é o tempo treinado em horas. Quantas horas de treino são necessárias para que o referido atleta alcance o auge de seu desempenho?
Provas
Questão presente nas seguintes provas
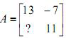
O professor Maurício pediu aos seus alunos para que eles calculassem qual o número que faltava na matriz abaixo, sabendo que Det A = 108.

Sendo assim, o número que falta é:

Sendo assim, o número que falta é:
Provas
Questão presente nas seguintes provas
Uma empresa de extrato de tomate lançou sua nova lata, juntamente com seu novo rótulo. Abaixo se encontram as dimensões de sua nova embalagem.

Qual é a área lateral da embalagem?

Qual é a área lateral da embalagem?
Provas
Questão presente nas seguintes provas
Calcule o volume de um cone, sabendo que este possui 3 metros de altura e 7m de raio:


Provas
Questão presente nas seguintes provas
Um terreno retangular de perímetro 200m está à venda em uma imobiliária. Sabe-se que sua largura tem 28m a menos que o seu comprimento. Se o metro quadrado cobrado nesta região é de R$ 50,00, qual será o valor pago por este terreno?
Provas
Questão presente nas seguintes provas

Provas
Questão presente nas seguintes provas
Cadernos
Caderno Container