Foram encontradas 85 questões.
No sistema operacional Linux, ao se executar o comando head -n 50 /home/cfa/bkp_arq_str.log, será possível
Provas
Questão presente nas seguintes provas
No sistema operacional Windows Server 2008 R2 Server Core,
o arquivo de lote que permite uma série de configurações,
como a de adicionar um usuário ao grupo de administradores,
denomina-se
Provas
Questão presente nas seguintes provas

Considerando a tabela evento acima, criada em ambiente relacional, assinale a alternativa que apresenta o resultado produzido após a execução do seguinte script SQL.

Provas
Questão presente nas seguintes provas
- Direito Internacional dos Direitos HumanosEvolução histórica dos direitos humanos e Declaração dos Direitos do Homem e do Cidadão
À luz das disposições da Declaração Universal dos Direitos do
Homem, assinale a alternativa correta.
Provas
Questão presente nas seguintes provas
À luz das disposições da Lei nº 8.429/1992, assinale a
alternativa correta.
Provas
Questão presente nas seguintes provas
- Lógica ProposicionalEquivalências Lógicas
- Lógica ProposicionalNegação de Proposições CompostasLeis de De Morgan
A negação de “Todos os cães merecem o céu” é
Provas
Questão presente nas seguintes provas
Assinale a alternativa que apresenta o número de divisores
inteiros positivos de 2.023.
Provas
Questão presente nas seguintes provas
A negação de “Se Paula é pequena, então Marcos é protegido
por Marte” é
Provas
Questão presente nas seguintes provas
Um número natural que pode ser expresso como o produto
de três números primos distintos é dito esfênico.
Considerando essa informação, assinale a alternativa que
apresenta um número esfênico.
Provas
Questão presente nas seguintes provas
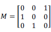
Se
, então a matrix é M3 é
, então a matrix é M3 éProvas
Questão presente nas seguintes provas
Cadernos
Caderno Container