Foram encontradas 50 questões.
- UniãoExecutivoDecreto 1.171/1994: Código de Ética do Servidor Público Civil do Poder Executivo Federal
Provas
Provas
Uma herança constituída de barras de ouro foi totalmente dividida entre três irmãos: José; Pedro; e Romão. José, por ser o mais velho, recebeu a terça parte das barras de ouro, e mais uma barra e meia. Após José ter recebido a sua parte, Pedro recebeu a metade do que sobrou, e mais meia barra. Coube a Romão o restante da herança, igual a duas barras e mais três quartos de uma barra.
Com base nessa situação hipotética, o total de barras da herança era de
Provas
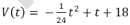
Em uma unidade hospitalar de certa região foi construída
uma caixa-d’água para armazenamento de água da chuva.
Em uma visita técnica, foi constatado um vazamento por
causa de uma rachadura na estrutura dessa caixa-d’água.
Com isso, identificou-se que, a cada hora, o volume V de
água na caixa-d’água, em metros cúbicos, diminuía de
acordo com a função
após t horas
do início do vazamento e considerando-a inicialmente
cheia.
Com base nessa situação hipotética e considerando que a caixa-d’água precisa estar completamente vazia para que seja feito o reparo da rachadura, esse reparo poderá ser feito, após o início do vazamento, depois de
Provas
Em um curso de medicina, os alunos do 8º semestre participaram de três oficinas extracurriculares: música (M); teatro (T); e matemática aplicada (MA).
Após o encerramento das atividades, a coordenação fez o seguinte levantamento:
• 15 alunos participaram da oficina de música;
• 20 alunos participaram da oficina de teatro;
• 10 alunos participaram da oficina de matemática aplicada;
• 8 alunos participaram das oficinas de música e de teatro;
• 5 alunos participaram das oficinas de música e de matemática aplicada;
• 7 alunos participaram das oficinas de teatro e de matemática aplicada; e
• 3 alunos participaram das três oficinas.
Com base nessa situação hipotética, é correto afirmar que o total de alunos que participaram de, pelo menos, uma das oficinas foi de
Provas
Um engenho utiliza 270 kg de cana para fazer 36 kg de açúcar.
Com base nessa situação hipotética e considerando que um refrigerante de 2 litros utiliza, em média, 300 gramas de açúcar na sua produção, é correto afirmar que a fábrica desse refrigerante, para produzir 60 refrigerantes por dia durante 30 dias, precisará que o engenho moa
Provas
Em um hospital, havia 5 vagas para trabalhar no laboratório, 4 no ambulatório e 6 na emergência.
Com base nessa situação hipotética, se 7 funcionários se candidatarem para o laboratório, 6 para o ambulatório e 8 para a emergência essas vagas poderão ser preenchidas, de formas distintas,
Provas
Um hospital público faz regularmente um levantamento do número de atendimentos realizados durante o dia por todos os médicos de plantão. Em um certo dia, foi gerada uma tabela, na qual se relacionaram a quantidade de médicos com a quantidade de atendimentos realizados naquele dia.

Com base nessa situação hipotética, e comparando-se os valores da média, da mediana e da moda da distribuição das quantidades dos atendimentos realizados pelos médicos de plantão naquele dia, obter-se-á
Provas
Pedro aplicou R$ 1.600 em uma instituição financeira pelo prazo de 3 meses consecutivos. A taxa de juros compostos dessa aplicação foi de 5% am.
Com base nessa situação hipotética, é correto afirmar que Pedro, ao final do terceiro mês, terá de juros a quantia de
Provas
Em um hospital, há 5 médicos e 5 médicas. Deseja-se formar, por sorteio sem reposição, uma comissão de 6 médicos e médicas para organizar a reforma do hospital.
Com base nessa situação hipotética e sabendo-se que a comissão deve ter, ao menos, uma médica, a probabilidade de que ela tenha exatamente 4 médicas e 2 médicos é
Provas
Caderno Container