Foram encontradas 389 questões.
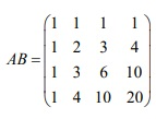
Considerem-se as matrizes a seguir.

Com base nos dados apresentados, julgue o item.
O determinante da matriz AB é igual a 1.
Provas
Considerem-se as matrizes a seguir.

Com base nos dados apresentados, julgue o item.

Provas
Sendo A(1,3), B(9,3) e C(1,18) os vértices de um triângulo no plano cartesiano, julgue o item.
A razão dos volumes dos sólidos gerados pela revolução do triângulo ABC em torno dos lados AB e AC é igual a 1,75.
Provas
Sendo A(1,3), B(9,3) e C(1,18) os vértices de um triângulo no plano cartesiano, julgue o item.
A área do triângulo ABC é igual a 120.
Provas
Sendo A(1,3), B(9,3) e C(1,18) os vértices de um triângulo no plano cartesiano, julgue o item.
A distância entre os pontos B e C é igual a 17.
Provas


Internet:<www.exame.com>
Em relação à estrutura linguística e ao vocabulário do texto, julgue o item.
A palavra “sub-representadas” (linha 28) significa, no texto, representadas em quantidade abaixo do que seria esperado.
Provas


Internet:<www.exame.com>
Em relação à estrutura linguística e ao vocabulário do texto, julgue o item.
O emprego do sinal indicativo de crase é facultativo no “a” presente na expressão “a gasolina” (linha 26).
Provas


Internet:<www.exame.com>
Em relação à estrutura linguística e ao vocabulário do texto, julgue o item.
A alteração da forma verbal “ajudar” (linha 15) por ausciliar manteria a correção gramatical e o sentido original do texto.
Provas


Internet:<www.exame.com>
Em relação à estrutura linguística e ao vocabulário do texto, julgue o item.
A correção gramatical e o sentido original do texto seriam mantidos caso o ponto empregado logo após a palavra “feita” (linha 15) fosse substituído por ponto e vírgula e a preposição “a”, em “A partir”, fosse grafada com letra minúscula, da seguinte forma: Fomos ler os relatórios de ESG das empresas e percebemos um hiato na mensuração feita; a partir disto.
Provas


Internet:<www.exame.com>
Em relação à estrutura linguística e ao vocabulário do texto, julgue o item.
Na linha 11, a forma verbal “acreditam” deve ser flexionada no plural, para concordar com o número da porcentagem, que é “87”.
Provas
Caderno Container