Foram encontradas 934 questões.
Sobre o esquema abaixo, é possível considerar que “Este computador”:


Provas
Questão presente nas seguintes provas
Sobre o algoritmo abaixo, podemos afirmar que são variáveis globais:


Provas
Questão presente nas seguintes provas
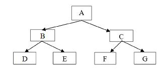
Considere a seguinte árvore binária encadeada. Ao aplicar o percurso do tipo “Pré-Ordem”, obtém-se a sequência linear:


Provas
Questão presente nas seguintes provas
Num fluxograma, o símbolo
representa:
Provas
Questão presente nas seguintes provas

É correto afirmar que:
Provas
Questão presente nas seguintes provas
Considere as seguintes sentenças de lógica proposicional.
I. (((P vQ)→ ~R )→ (Q&P))
II. (X&(W→ ((P&W) v (S⇔ T))
III. (P&(R →((P&P) v (P → P) )))
A opção que contém os respectivos números de linhas da tabela verdade de cada uma das sentenças é:
Provas
Questão presente nas seguintes provas
Considerando o código abaixo, escrito na linguagem de programação PHP, o resultado esperado é:


Provas
Questão presente nas seguintes provas
O AJAX é o uso sistemático de Javascript e XML para tornar o navegador mais interativo com o usuário, utilizando- se de solicitações assíncronas de informações. Seu uso oferece uma série de benefícios, EXCETO:
Provas
Questão presente nas seguintes provas
Em Java, uma variável de ponto flutuante é uma variável do tipo:
Provas
Questão presente nas seguintes provas
- Paradigmas de ProgramaçãoOrientação a ObjetosAnálise e Projeto Orientado a Objetos
- Paradigmas de ProgramaçãoOrientação a ObjetosDefinição Técnica: Orientação a Objetos
- Paradigmas de ProgramaçãoOrientação a ObjetosOrientação a Objetos: Classes e Objetos
Uma classe de objetos descreve umgrupo de objetos com propriedades:
Provas
Questão presente nas seguintes provas
Cadernos
Caderno Container