Foram encontradas 755 questões.
- Técnicas Jornalísticas
- Produção da Notícia
- Redação Jornalística
- Ética Jornalística
- Código de Ética dos Jornalistas Brasileiros
- Objetividade e Imparcialidade
- Apuração
- Fontes
- Checagem

O fato de ambos os autores serem jornalistas demonstra que não há consenso na área acerca da possibilidade de a objetividade ocorrer.
Provas
Questão presente nas seguintes provas
- Técnicas Jornalísticas
- Produção da Notícia
- Redação Jornalística
- Ética Jornalística
- Código de Ética dos Jornalistas Brasileiros
- Objetividade e Imparcialidade
- Apuração
- Fontes
- Checagem

É correto afirmar a partir das afirmações dos autores dos textos acima, que a objetividade é enxergar e manter o foco nos fatos como eles são, sem interpretações ou opiniões pessoais.
Provas
Questão presente nas seguintes provas
- Tecnologia e Comunicação
- Internet na Tecnologia e Comunicação no Jornalismo
- Mídias Eletrônicas
- Novas Mídias
- Teorias da Comunicação
- Tecnologia da Informação e das Comunicações
- Público, Massa e Audiência
- Interação e Interatividade
As novas tecnologias da informação e da comunicação
(NTICs) apresentam uma infinidade de instrumentos capazes de
transformar as relações no mundo contemporâneo. Entretanto,
defende-se que a principal característica das NTICs deve ser a
interatividade, por meio da qual os modelos comunicacionais
tradicionais - onde a informação é transmitida em uma só
direção - são substituídos por uma via de mão dupla, onde existe
a formação de uma rede de informações de forma inclusiva.
Acerca do assunto abordado no texto acima, julgue os
seguintes itens.
As NTICs vêm promovendo a aproximação de mercados e de indivíduos em todo o mundo.(NTICs) apresentam uma infinidade de instrumentos capazes de
transformar as relações no mundo contemporâneo. Entretanto,
defende-se que a principal característica das NTICs deve ser a
interatividade, por meio da qual os modelos comunicacionais
tradicionais - onde a informação é transmitida em uma só
direção - são substituídos por uma via de mão dupla, onde existe
a formação de uma rede de informações de forma inclusiva.
Acerca do assunto abordado no texto acima, julgue os
seguintes itens.
Provas
Questão presente nas seguintes provas
Julgue os itens a seguir, acerca de treinamento, seleção e o papel
do psicólogo organizacional e do trabalho.
Treinamento, na abordagem de sistemas instrucionais, é composto pelos seguintes subsistemas de atividades, que independem do contexto organizacional: análise de necessidades de treinamento, desenho instrucional, execução e avaliação.do psicólogo organizacional e do trabalho.
Provas
Questão presente nas seguintes provas
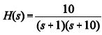
Suponha que um sistema dinâmico linear, contínuo,
monovariável, com entrada u(t) e saída y(t), em malha-aberta, é
representado pela função de transferência (FT)
. Acerca desse sistema, julgue os itens
seguintes.
A FT desse sistema não contém zeros finitos.monovariável, com entrada u(t) e saída y(t), em malha-aberta, é
representado pela função de transferência (FT)
. Acerca desse sistema, julgue os itensseguintes.
Provas
Questão presente nas seguintes provas
A respeito do código BCD (binary coded decimal) 8421, julgue
o item subsequente.
O número de dígitos binários que esse código possui é igual ao número de bits do código sendo, para esse caso em particular, igual a 4 bits.o item subsequente.
Provas
Questão presente nas seguintes provas
É uma chave eletrônica destinada ao comando de motores de CA,
assegurando a aceleração e desaceleração progressivas, além de
permitir uma adaptação da velocidade do eixo do motor às
condições de operação. Julgue o item seguinte a respeito desse
equipamento.
A descrição corresponde a um tiristor SCR ligado em série com um TRIAC, composição esta muito utilizada como chave para a partida de motores, principalmente se a corrente de partida solicitada é superior a 100 A.assegurando a aceleração e desaceleração progressivas, além de
permitir uma adaptação da velocidade do eixo do motor às
condições de operação. Julgue o item seguinte a respeito desse
equipamento.
Provas
Questão presente nas seguintes provas
Os chips de memória para uso em microcomputadores podem ser
divididos em ROM e RAM. A respeito da RAM, julgue o item
subsequente.
A RAM é uma memória volátil, isto é, ao se desligar o microcomputador, todos os dados contidos nesse tipo de memória são apagados.divididos em ROM e RAM. A respeito da RAM, julgue o item
subsequente.
Provas
Questão presente nas seguintes provas
A respeito da arquitetura de microcomputadores, julgue o
item abaixo.
Em um microcomputador, além da memória principal, há também a memória secundária. A memória principal é acessada pelo processador somente por cerca de 20% do tempo, porque durante o restante do tempo a comunicação ocorre, em geral, por meio de periféricos externos como mouse e teclado.item abaixo.
Provas
Questão presente nas seguintes provas
Suponha que um sistema dinâmico linear, contínuo,
monovariável, com entrada u(t) e saída y(t), em malha-aberta, é
representado pela função de transferência (FT)
. Acerca desse sistema, julgue os itens
seguintes.
Suponha que a magnitude da resposta em frequência desse sistema a uma dada frequência seja igual a -10 dB. Nessa situação, a frequência angular correspondente a essa magnitude é inferior a 1 rad/s.monovariável, com entrada u(t) e saída y(t), em malha-aberta, é
representado pela função de transferência (FT)
. Acerca desse sistema, julgue os itensseguintes.
Provas
Questão presente nas seguintes provas
Cadernos
Caderno Container