Foram encontradas 597 questões.
Considere o diagrama UML 2.5 abaixo.

Provas
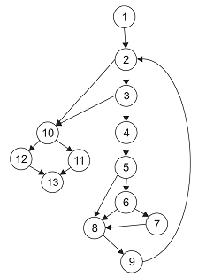
Considere o grafo abaixo.

A complexidade ciclomática é uma métrica que mede a complexidade de um determinado módulo (uma classe, um método, uma função etc.), a partir da contagem do número de caminhos independentes que ele pode executar até o seu fim. Um caminho independente é aquele que apresenta pelo menos uma nova condição (possibilidade de desvio de fluxo) ou um novo conjunto de comandos a serem executados. O resultado da complexidade ciclomática indica quantos testes, pelo menos, precisam ser executados para que se verifiquem todos os fluxos possíveis que o código pode tomar, a fim de garantir uma completa cobertura de testes.
(Adaptado de: https://www.treinaweb.com.br/blog/complexidade-ciclomatica-analise-estatica-e-refatoracao/)
Considerando que no grafo acima há 17 arestas e 13 nós, o cálculo da complexidade ciclomática resulta em
Provas
Provas
Considere a definição de algumas práticas da eXtreme Programming − XP.
I. Todo o código desenvolvido pelo time é incorporado em um repositório comum várias vezes ao dia. Isso garante que qualquer problema de integração ao longo do projeto possa ser notado e corrigido rapidamente.
II. Qualquer programador do time pode alterar qualquer seção do código, se necessário. Por mais que esta prática pareça perigosa, ela aumenta a velocidade do desenvolvimento e problemas em potencial podem ser detectados pelos testes de unidade.
III. Traz a ideia de que qualquer pessoa do time seja capaz de verificar o código sendo desenvolvido em alto nível e ter uma compreensão clara de qual funcionalidade do sistema está sendo trabalhada.
IV. Permite aplicar melhorias ao código sem mudar sua funcionalidade, visando sua simplificação. Se o cliente deseja alterar alguma coisa no produto final, o time pode fazer os ajustes rapidamente, e esta prática contribui para alcançar este objetivo.
As práticas de I a IV são, correta e respectivamente,
Provas
Considere, por hipótese, que uma equipe de Analistas de Sistemas da Defensoria elencou a lista de requisitos para um novo sistema:
− O sistema não deverá revelar aos usuários nenhuma informação pessoal sobre os cidadãos, além do número do processo, em respeito à legislação de privacidade.
− Em razão das restrições referentes aos direitos autorais, alguns documentos devem ser excluídos imediatamente ao serem fornecidos pelos cidadãos em seus processos.
− O sistema deve implementar interfaces utilizando as normas de usabilidade vigentes para o serviço público.
A lista apresenta exemplos de requisitos
Provas
- Engenharia de SoftwareTestesTipos de TestesTeste de Usabilidade
- UX/UIAvaliação de Usabilidade
- UX/UIePWG: Padrões Web em Governo Eletrônico
- UX/UIHeurísticas de Usabilidade
Provas
- Engenharia de SoftwareGerenciamento de Projetos de Software
- Qualidade de SoftwareMétricas de SoftwareLOC: Linhas de Código
- Qualidade de SoftwareMétricas de SoftwareMétricas Orientadas a Tamanho vs. Função
Suponha que um Técnico Programador da Defensoria está trabalhando no projeto de um software que será desenvolvido. Após a análise do escopo do software, suas funções principais foram identificadas. Em seguida, um intervalo de estimativa de Linhas de Código − LOC foi desenvolvido para cada função. Esse intervalo considera as estimativas como otimista (Tot), mais provável (Tmp) e pessimista (Tpess). Os valores das estimativas para cada função, como mostrado abaixo, foram obtidos utilizando a expressão:
T=(Tot + 4Tmp + Tpess)/6
1) Função: Alimentos − Estimativa de LOC: 3000
2) Função: Guarda − Estimativa de LOC: 5000
3) Função: Tutela − Estimativa de LOC: ..I...
4) Função: Adoção − Estimativa de LOC: 3300
5) Função: Interdição − Estimativa de LOC: 6000
Estimativa de LOC total: . .II....
Considerando que para a função “Tutela” foram obtidos: Tot=3800 LOC, Tmp=6500 LOC; e TPess=8600 LOC, as lacunas I e II devem ser preenchidas, correta e respectivamente, com
Provas
Provas
- Fundamentos de ProgramaçãoEstruturas de DadosDefinição: Estrutura de Dados
- Fundamentos de ProgramaçãoEstruturas de DadosEstrutura de Dados: ÁrvoreÁrvore Binária
Provas
Considere o diagrama UML 2.5 abaixo.

Este é um
Provas
Caderno Container