Magna Concursos

Foram encontradas 580 questões.

159330 Ano: 2019
Disciplina: Estatística
Banca: FGV
Orgão: DPE-RJ

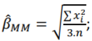
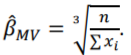
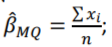
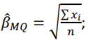
Seja X uma variável aleatória com parâmetro β e função de densidade de probabilidade dada por:

ƒx(x) = kx2 · e-x/β · β-3, para x > 0 e Zero, caso contrário.

Para a estimação do parâmetro da distribuição, uma amostra de tamanho n é extraída e vários métodos são cogitados.

Sobre os possíveis estimadores, é correto afirmar que:

 

Provas

Questão presente nas seguintes provas
159329 Ano: 2019
Disciplina: Estatística
Banca: FGV
Orgão: DPE-RJ

Após uma análise sobre a série de tempo que reflete o volume de recursos envolvidos nos feitos em que a Defensoria Pública atua, verificou-se a existência de um processo do tipo MA(2). Adicionalmente, estimou-se essa equação que modela a série sendo dada por:

yt = k + 0,4·εt-2 + 0,2 · εt-1 + εt


Onde K é uma constante e εt um ruído branco, Et) = 0 e Et2) = σ2

 

Provas

Questão presente nas seguintes provas
159328 Ano: 2019
Disciplina: Estatística
Banca: FGV
Orgão: DPE-RJ
Numa amostragem estratificada, a alocação das unidades amostrais pode ser realizada a partir de diferentes critérios. Sobre o assunto, cabe destacar que:
 

Provas

Questão presente nas seguintes provas
159327 Ano: 2019
Disciplina: Estatística
Banca: FGV
Orgão: DPE-RJ

Sejam X1, X2, X3, ..., Xn variáveis representativas de uma amostra aleatória simples (AAS) de tamanho n, a partir de uma população Normal com média zero e variância σ2 .

Quanto às estatísticas amostrais e suas distribuições, é correto afirmar que:

 

Provas

Questão presente nas seguintes provas
159326 Ano: 2019
Disciplina: Estatística
Banca: FGV
Orgão: DPE-RJ

Suponha que para estimar e testar a diferença entre as médias de duas populações cujas características são independentes sejam extraídas duas amostras. Os tamanhos de amostra são n = 36 e m = 64, para X e Y, respectivamente. Como resultado da seleção, chega-se a !$ \overline{X} = 20 !$ e !$ \overline{Y} = 17 !$. Além disso, sabe-se que as variâncias populacionais são σ2x = σ2y = 100.

Em módulo, a estatística amostral para fins de estimação e inferência é:

 

Provas

Questão presente nas seguintes provas
159325 Ano: 2019
Disciplina: Estatística
Banca: FGV
Orgão: DPE-RJ
Sobre os Números Índices, sua construção, suas propriedades e erros, é correto afirmar que:
 

Provas

Questão presente nas seguintes provas
159324 Ano: 2019
Disciplina: Estatística
Banca: FGV
Orgão: DPE-RJ

Com o objetivo de estimar uma proporção populacional, será extraída uma amostra aleatória simples. O tamanho dessa amostra será determinado pelas escolhas do erro amostral (E), do grau de confiança (1 - α) e por hipóteses sobre o verdadeiro valor da proporção (p). Além disso, com Z~N(0,1), sabe-se que:

P(Z >1,25) ≅ 0,1 , P(Z >1,5) ≅ 0,05 e P(Z > 2) ≅ 0,025

Dentre as alternativas abaixo, todas tidas como aceitáveis, a mais econômica é:

 

Provas

Questão presente nas seguintes provas
159323 Ano: 2019
Disciplina: Matemática
Banca: FGV
Orgão: DPE-RJ
A partir dos axiomas da Teoria das Probabilidades, algumas proposições podem ser estabelecidas, para quaisquer eventos não vazios, dentre as quais estão:
 

Provas

Questão presente nas seguintes provas
159322 Ano: 2019
Disciplina: Estatística
Banca: FGV
Orgão: DPE-RJ

Sejam θ1, θ2 e θ3 estimadores de um parâmetro populacional θ gerados a partir de uma amostra do tipo AAS de tamanho n.

Sabe-se ainda que é eficiente quando comparada com uma certa classe de estimadores, que θ2 e θ3 são tendenciosos, mas θ2 não é assintoticamente tendencioso. Então:

 

Provas

Questão presente nas seguintes provas
159321 Ano: 2019
Disciplina: Estatística
Banca: FGV
Orgão: DPE-RJ

Seja a variável aleatória bidimensional (X,Y) que tem distribuição uniforme no quadrado 0 < x < 1 e 0 < y < 1 e Zero fora dele. Por uma transformação linear é definida a v.a. bidimensional (Z,W) da seguinte maneira:

Z = X + Y e W = X – Y

Então, sobre essa outra variável bidimensional, é correto afirmar que:

 

Provas

Questão presente nas seguintes provas