Foram encontradas 656 questões.
Os documentos de Araxá (1967) e Teresópolis (1970), resultantes dos congressos profissionais realizados nas respectivas cidades, são marcos do movimento de renovação do serviço social.
Assinale a opção que corresponde à perspectiva modernizadora que os referidos documentos representam.
Provas
De acordo com a Lei n.º 8.662/1993, é atribuição do assistente social
Provas
Constitui princípio fundamental do Código de Ética Profissional do Assistente Social
Provas
São perspectivas da ferramenta administrativa denominada balanced scorecard
Provas
No CRISP-DM, a fase que se caracteriza pelas tarefas de limpar, construir, integrar e formatar os dados é a de
Provas
Segundo a Lei de Acesso à Informação (Lei n.º 12.527/2011), a informação em poder dos órgãos e das entidades públicas, observado o seu teor e em razão de sua imprescindibilidade à segurança da sociedade ou do Estado, poderá ser classificada em
Provas
O big data, inicialmente caracterizado por três Vs, em 2001, atualmente inclui mais dois Vs. Um dos Vs que caracteriza o big data é
Provas

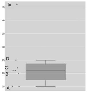
No gráfico boxplot anteriormente apresentado, o outlier do conjunto de dados é representado pelo ponto
Provas
O valor de um atributo de um dado objeto é uma medida da quantidade daquele atributo, a qual pode ser numérica ou categórica.
Nesse caso, estado civil e sexo são classificados como atributo
Provas
Disciplina: Administração Financeira e Orçamentária
Banca: CESPE / CEBRASPE
Orgão: DPE-RO
O Orçamento público brasileiro possui três peças base: Lei de Diretrizes Orçamentárias (LDO), Plano Plurianual (PPA) e Lei Orçamentária Anual (LOA).
Acerca dessas peças, assinale a opção correta.
Provas
Caderno Container