Foram encontradas 765 questões.
Considere:
Perspectiva Teórica
I. Escola Francesa
II. Escolha Estratégica
III. Escola de Recursos Humanos
IV. Institucionalista
Proposição
a. Aceita o conflito entre capital e trabalho, desde que dentro das regras e normas estabelecidas pelo sistema de regulação criado pelo Estado ou instituições específicas.
b. Considera indesejável, não aceita o conflito entre capital e trabalho.
c. Baseada na posição dos atores sociais em relação às forças ambientais, sejam líderes sindicais, assalariados, empregadores ou gestores públicos.
d. Argumenta que, de acordo com a situação política e econômica favorável ou desfavorável ao trabalho, o conflito e a negociação podem adquirir características diversas.
A associação correta entre perspectiva teórica e proposição está em
Provas
Provas
Provas
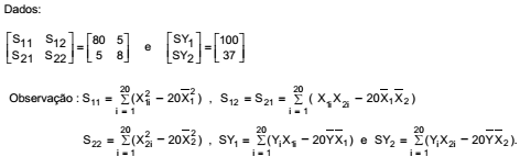
O modelo de regressão linear múltipla correspondente à equação Yi = α + β1X1i + β2X2i + εi foi construído para prever Y em função de X1 e X2. Os parâmetros α, β1 e β2 são desconhecidos, εi corresponde ao erro aleatório com as respectivas hipóteses do modelo de regressão linear múltipla e i refere-se a i-ésima observação. Com base em 20 observações e utilizando o método dos mínimos quadrados, obtiveram-se as estimativas dos parâmetros α, β1 e β2.

As médias das 20 observações de Yi
, X1i e X2i estão representadas acima por
, respectivamente.
Dado que
, tem-se que o valor da estimativa de α é igual a
Provas
Provas
Provas
Provas
Provas
Provas
Provas
Caderno Container