Foram encontradas 960 questões.
Apesar do declínio observado no Brasil nas últimas décadas, a Mortalidade Infantil permanece como uma grande preocupação em Saúde Pública. Assim, tem sido recomendado(a) como o Indicador mais apropriado para a análise da assistência obstétrica e neonatal e de utilização dos serviços de saúde
Provas
Questão presente nas seguintes provas
Conforme a região do país, há a prevalência de determinada etnia indígena. Assinale a alternativa cuja relação etnia – região do país está correta.
Provas
Questão presente nas seguintes provas
Assinale a alternativa que corresponde a um comportamento que envolve uma mensagem assertiva.
Provas
Questão presente nas seguintes provas
Na Classificação dos Atos Violentos segundo sua natureza, o ato de omissão do responsável pela criança ou adolescente em prover as necessidades para seu desenvolvimento é denominado
Provas
Questão presente nas seguintes provas
Assinale a alternativa INCORRETA.
Provas
Questão presente nas seguintes provas
Sobre os princípios Básicos do Treinamento Desportivo, assinale a alternativa INCORRETA.
Provas
Questão presente nas seguintes provas
Dentre as medidas importantes de prevenção da deficiência de vitamina A, está a suplementação profilática, periódica e regular desta vitamina em crianças na faixa etária de
Provas
Questão presente nas seguintes provas
A estabilidade dos produtos farmacêuticos pode ser influenciada tanto por fatores intrínsecos como extrínsecos. O impacto dos fatores extrínsecos na estabilidade dos medicamentos pode ser controlado com atitudes simples como o armazenamento adequado dos medicamentos, o que leva o técnico de farmácia a observar com cuidado tais fatores. Considerando o exposto, assinale a alternativa que apresente somente fatores extrínsecos que afetam a estabilidade dos medicamentos.
Provas
Questão presente nas seguintes provas
A coleta de sangue para a realização de exames laboratoriais deve ser realizada com cautela para que não haja troca de amostras nem perda do material colhido. Após a realização da coleta de sangue, os tubos de amostra devem ser homogeneizados corretamente, pois caso sejam homogeneizados de forma inadequada poderão
Provas
Questão presente nas seguintes provas
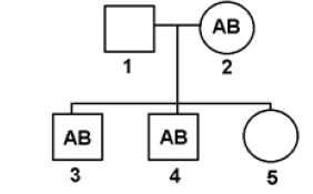
Observe o seguinte heredograma que mostra o tipo sanguíneo de uma família e assinale a alternativa correta.

Provas
Questão presente nas seguintes provas
Cadernos
Caderno Container