Foram encontradas 985 questões.
Sabendo que β é a probabilidade de erro de tipo II, então uma alteração da qualidade média de um processo, relativamente “à verdadeira" qualidade média, μ, corresponderia à probabilidade β. A probabilidade de se concluir (erroneamente) que o processo está sob controle, apesar da média ter se alterado de 10 para 9,5, é equivalente a obter a área sombreada da figura a seguir. Essa área corresponde à probabilidade de cometer um erro de tipo II. Qual é o valor dessa área?


Provas
Questão presente nas seguintes provas
Seja X uma variável aleatória com função de densidade

Assim o valor da constante c e Q1 , o primeiro quartil da distribuição de X, são:
Assim o valor da constante c e Q1 , o primeiro quartil da distribuição de X, são:
Provas
Questão presente nas seguintes provas
Suponha que em uma empresa onde você pretende apresentar-se como candidato a uma vaga, a média dos salários seja de 6.000 unidades monetárias e o 3° quartil seja de 2.000 unidades monetárias. Caso você seja aleatoriamente selecionado para ocupar uma vaga, o que julga ser mais provável?
Provas
Questão presente nas seguintes provas
Em média, em determinada esquina ocorre, um acidente a cada dois dias. Qual é a probabilidade de que, a partir do último acidente, se passem 4 dias antes de ocorrer o próximo acidente?
Provas
Questão presente nas seguintes provas
Considere a matriz estocástica P3×3 a seguir e selecione a alternativa correta.


Provas
Questão presente nas seguintes provas
Os dados apresentados no quadro a seguir representam uma variável X, em classes. Sabe-se que a moda, a mediana e a média possuem valores iguais, então pode-se afirmar que


Provas
Questão presente nas seguintes provas
Preocupada com o seu peso, Joana quer se submeter a uma dieta saudável que permita manter sua saúde. Para isso ela precisa ingerir uma quantidade correta de nutrientes para manter a saúde com poucas calorias. Com base na tabela a seguir, será programada a dieta diária de Joana. Considere como um problema de programação linear. Qual a função objetivo do problema?


Provas
Questão presente nas seguintes provas
Em relação à teoria de Séries Temporais, a respeito de uma variação cíclica, assinale a alternativa correta
Provas
Questão presente nas seguintes provas
Um pesquisador está interessado em estudar o efeito da temperatura na eficácia de um medicamento. Dez
amostras de 30 gramas cada foram guardadas em temperaturas diferentes e, após um tempo pré-fixado, mediuse
a eficácia dessas amostras. Os resultados observados estão no quadro a seguir.

Considerando que ∑x = 600 ∑x2 = 40200 , ∑xy = 14960, ∑y = 276 a equação de regressão linear da quantidade sobre o tempo é dada por
Considerando que ∑x = 600 ∑x2 = 40200 , ∑xy = 14960, ∑y = 276 a equação de regressão linear da quantidade sobre o tempo é dada por
Provas
Questão presente nas seguintes provas
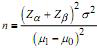
Para um teste de hipóteses unilateral para comparação de médias de populações normalmente distribuídas com a mesma variância , em que
H0 : μ = μ0 versus H0: μ = μ1
e α e β são probabilidades de cometer os erros do tipo I e tipo II, respectivamente. O tamanho de amostra n requerida para esse caso é: (Z - quantis da distribuição normal com relação a α e β).
H0 : μ = μ0 versus H0: μ = μ1
e α e β são probabilidades de cometer os erros do tipo I e tipo II, respectivamente. O tamanho de amostra n requerida para esse caso é: (Z - quantis da distribuição normal com relação a α e β).
Provas
Questão presente nas seguintes provas
Cadernos
Caderno Container