Foram encontradas 985 questões.
Seja x 1 , x 2 , ..., x k uma amostra aleatória da distribuição de Bernoulli com parâmetro p, então a estatística suficiente para p é
Provas
Questão presente nas seguintes provas
Um estudo, hipotético, de caso-controle foi realizado para investigar fatores de risco para a displasia. Todas as mulheres no estudo eram pacientes em unidades de atendimento público. Os casos eram 200 mulheres, com idades entre 18-40 que tinham displasia cervical. Os controles foram 400 mulheres com idade entre 18-40 que não apresentavam displasia cervical. Cada mulher foi classificada como positiva ou negativa, dependendo da presença do HPV (human papilloma virus) e os dados estão resumidos na tabela a seguir. Com base nessas informações, obtenha o intervalo de 95% de confiança (IC) para a diferença de resultados positivos entre casos e controles e conclua sobre a significância dessa diferença.


Provas
Questão presente nas seguintes provas
- Gestão Estratégica
- PODC: Processo OrganizacionalProcesso Administrativo: OrganizaçãoEstratégia Organizacional
Pelo enfoque estratégico, no momento da decisão sobre a estrutura física do hospital, os empreendedores devem conhecer e projetar as demandas quanto a quem será e quantos provavelmente utilizarão os serviços médico- hospitalares prestados. Assim, assinale a alternativa que apresenta o que devem estabelecer com clareza os empreendedores do hospital para proporcionar uma edificação que seja viável e sustentável.
Provas
Questão presente nas seguintes provas
Junto com a gestão, foi introduzido um conjunto de instrumentos - como a tecnologia da informação, o desenvolvimento de pessoas, técnicas de planejamento, de controle, de avaliação interna e externa- que caracteriza um desafio fundamental enfrentado tanto por instituições públicas como privadas, após a estabilização econômica ocorrida no Brasil a partir de 1994. Assinale a alternativa que apresenta o que são estas medidas que devem estar junto com a gestão.
Provas
Questão presente nas seguintes provas
O papel do administrador hospitalar requer a observação das lógicas de funcionamento de cada unidade de cuidado, das corporações e da produção do cuidado. Cada uma destas lógicas precisa ser considerada pela administração em suas responsabilidades de gestão do complexo hospitalar. Assinale a alternativa que tem a pretensão de criar mecanismos para lidar com as práticas cotidianas do hospital de forma mais articulada, com canais de comunicação mais definidos, mais solidária, com menos conflitos e, assim, seguindo as várias lógicas mencionadas.
Provas
Questão presente nas seguintes provas
- Gestão Estratégica
- PODC: Processo OrganizacionalProcesso Administrativo: OrganizaçãoEstratégia Organizacional
Em uma nova concepção, o planejamento estratégico é caracterizado por uma mudança no entendimento do papel do gestor governamental no processo de elaboração e de implementação das políticas. Assinale a alternativa que apresenta o papel do planejador nesse enfoque estratégico.
Provas
Questão presente nas seguintes provas
Um sistema de informação hospitalar necessita de um conjunto de indicadores e padrões de qualidade da assistência que dependem das propriedades dos componentes utilizados na formulação dos indicadores e da precisão dos sistemas de informação empregados. Dentre as definições do grau de excelência de um indicador, assinale a alternativa que apresenta o atributo desejável para um indicador que é a capacidade de medir o que se pretende.
Provas
Questão presente nas seguintes provas
Diversos autores conceituam administração hospitalar como o conjunto de princípios e atividades praticadas por gestores de instituições de saúde das redes pública e privadas. Assinale a alternativa que apresenta somente alguns destes princípios básicos de administração aplicados a hospitais.
Provas
Questão presente nas seguintes provas
Uma pesquisa foi feita entre os moradores de um bairro para saber em qual das duas padarias (situadas nesse mesmo bairro) eles preferiam comprar. Foram entrevistados ao todo 300 moradores, dos quais 130 optaram apenas pela padaria A e 60 disseram que iam às 2 padarias, A e B. Sabendo que todos os moradores optaram por uma padaria, quantos optaram apenas pela padaria B?
Provas
Questão presente nas seguintes provas
métododeMonteCarloSimplesparaocálculode integrais
I-Se { an} é uma sequência convergente e c uma constante, então
II. A sequência {n/(2n+1)} é uma sequência crescente.
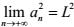
III. Se { an} é convergente e
então a sequência { an2 } é convergente e 
IV. Se a > 1 então a sequência ( a,a2,k,an,k ) é limitada inferiormente, porém não superiormente.
V. A sequência {(-1) n+1 /n} é uma sequência estritamente decrescente.
I-Se { an} é uma sequência convergente e c uma constante, então
II. A sequência {n/(2n+1)} é uma sequência crescente.
III. Se { an} é convergente e
IV. Se a > 1 então a sequência ( a,a2,k,an,k ) é limitada inferiormente, porém não superiormente.
V. A sequência {(-1) n+1 /n} é uma sequência estritamente decrescente.
Provas
Questão presente nas seguintes provas
Cadernos
Caderno Container