Foram encontradas 70 questões.
O controle de sistemas, muitas vezes, exige que o sinal de saída seja processado e adicionado à variável de entrada, o que é designado como realimentação de saída.
Nessa perspectiva, considere o diagrama em blocos a seguir.

No diagrama, pode-se observar a existência de duas realimentações: uma unitária e uma através de um bloco com dinâmica. Suponha que:
. o sistema original a ser controlado tenha sua função de transferência de ordem 3;
. o bloco controlador, cuja função de transferência é G(s), seja de grau 2, isto é, sua função de transferência seja de segunda ordem.
Tanto H(s) quanto G(s) são funções racionais polinomiais estritamente próprias. A máxima ordem possível para a função de transferência equivalente ao diagrama apresentado é
Nessa perspectiva, considere o diagrama em blocos a seguir.

No diagrama, pode-se observar a existência de duas realimentações: uma unitária e uma através de um bloco com dinâmica. Suponha que:
. o sistema original a ser controlado tenha sua função de transferência de ordem 3;
. o bloco controlador, cuja função de transferência é G(s), seja de grau 2, isto é, sua função de transferência seja de segunda ordem.
Tanto H(s) quanto G(s) são funções racionais polinomiais estritamente próprias. A máxima ordem possível para a função de transferência equivalente ao diagrama apresentado é
Provas
Questão presente nas seguintes provas
Um ensaio de resposta impulsional foi realizado com um sistema linear, invariante no tempo, a tempo contínuo, causal e monovariável. A resposta impulsional, calculada a partir da saída, é

Qual é a função de transferência do sistema?

Qual é a função de transferência do sistema?
Provas
Questão presente nas seguintes provas
Um dos aspectos mais importantes na área de sistemas de controle é a estabilidade desses sistemas. Existem várias definições para estabilidade, cada uma focada em um tipo de modelo e/ou em um tipo de resposta em consideração. Um dos conceitos mais usados é o da Estabilidade BIBO (Bounded Input - Bounded Output).
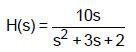
Nessa perspectiva, considere o diagrama em blocos a seguir.

Nesse diagrama, H(s) é uma função dada, e G(s) é uma função parcialmente especificada, com um parâmetro a determinar. H(s) é dada por:

O polinômio do denominador de H(s) não é um polinômio de Hurwitz e, então, H(s) não pode representar um sistema BIBO-estável. Para estabilizar o sistema, acrescentase G(s), de tal forma que a conexão seja BIBO-estável. A forma escolhida para G(s) é:
, onde K é um número real.
Qual dos valores de α, apresentados abaixo, permite que o conjunto da figura seja BIBO-estável?
Nessa perspectiva, considere o diagrama em blocos a seguir.

Nesse diagrama, H(s) é uma função dada, e G(s) é uma função parcialmente especificada, com um parâmetro a determinar. H(s) é dada por:

O polinômio do denominador de H(s) não é um polinômio de Hurwitz e, então, H(s) não pode representar um sistema BIBO-estável. Para estabilizar o sistema, acrescentase G(s), de tal forma que a conexão seja BIBO-estável. A forma escolhida para G(s) é:
, onde K é um número real.Qual dos valores de α, apresentados abaixo, permite que o conjunto da figura seja BIBO-estável?
Provas
Questão presente nas seguintes provas
A função de transferência de um sistema, após a aplicação de uma malha de realimentação, é dada pela seguinte função:

Em H(s), K é um parâmetro a ser calculado de tal forma que o sistema seja BIBO-estável. Para conseguir determinar as faixas de K que atendem a essa especificação, foi utilizado o Método de Routh-Hurwitz, cuja tabulação está a seguir.

Com base nesses dados, a faixa de valores de K que torna o sistema realimentado BIBO-estável é

Em H(s), K é um parâmetro a ser calculado de tal forma que o sistema seja BIBO-estável. Para conseguir determinar as faixas de K que atendem a essa especificação, foi utilizado o Método de Routh-Hurwitz, cuja tabulação está a seguir.

Com base nesses dados, a faixa de valores de K que torna o sistema realimentado BIBO-estável é
Provas
Questão presente nas seguintes provas
- Diodo na Engenharia Eletrônica
- Eletrônica Analógica na Engenharia Eletrônica
- Eletrônica de Potência na Engenharia Eletrônica
A ponte de Graetz a seis pulsos é o componente fundamental para o processo de conversão de corrente alternada para corrente contínua, com os tiristores conduzindo de acordo com a ordem numérica, conforme a figura abaixo.

Com base nesses dados, analise as afirmativas a seguir.
I - A ponte de Graetz a seis pulsos pode operar só como ponte retificadora.
II - A ponte de Graetz a seis pulsos pode operar como ponte retificadora e inversora.
III - Para esta ponte, teoricamente, o ângulo
(ângulo de disparo) pode variar de 0° até 180° na operação de retificação.
IV - Em um determinado tempo, é possível, na ponte de Graetz, três tiristores conduzirem ao mesmo tempo.
Está correto APENAS o que se afirma em

Com base nesses dados, analise as afirmativas a seguir.
I - A ponte de Graetz a seis pulsos pode operar só como ponte retificadora.
II - A ponte de Graetz a seis pulsos pode operar como ponte retificadora e inversora.
III - Para esta ponte, teoricamente, o ângulo
(ângulo de disparo) pode variar de 0° até 180° na operação de retificação.IV - Em um determinado tempo, é possível, na ponte de Graetz, três tiristores conduzirem ao mesmo tempo.
Está correto APENAS o que se afirma em
Provas
Questão presente nas seguintes provas
Um banco trifásico de transformadores A com a potência nominal de 112,5 kVA tem
Um segundo banco trifásico de transformadores B, com potência nominal também de 112,5 kVA, deverá ser ligado em paralelo com o primeiro banco. As tensões primárias de linha são 220 kV e o banco A tem ligações
Se o banco B tiver o primário ligado em Y, então
para cada transformador desse banco, vale
Um segundo banco trifásico de transformadores B, com potência nominal também de 112,5 kVA, deverá ser ligado em paralelo com o primeiro banco. As tensões primárias de linha são 220 kV e o banco A tem ligações
Se o banco B tiver o primário ligado em Y, então
para cada transformador desse banco, valeProvas
Questão presente nas seguintes provas
O circuito R,L,C abaixo é alimentado por uma fonte de corrente contínua de 200 V.

O valor de regime permanente da corrente i do circuito, em ampères, é

O valor de regime permanente da corrente i do circuito, em ampères, é
Provas
Questão presente nas seguintes provas

A figura acima apresenta um sistema trifásico com cargas conectadas em estrela. Para esse sistema, afirma-se que, para cargas
Provas
Questão presente nas seguintes provas
Duas cargas,
estão ligadas em paralelo a uma fonte de 120 V, 60 Hz. A capacitância a ser colocada em paralelo com o circuito, para que o conjunto apresente fator de potência unitário, deve consumir, em VA,
estão ligadas em paralelo a uma fonte de 120 V, 60 Hz. A capacitância a ser colocada em paralelo com o circuito, para que o conjunto apresente fator de potência unitário, deve consumir, em VA,Provas
Questão presente nas seguintes provas
- Sistemas Elétricos de PotênciaAnálise de SEPFluxo de Potência, Estabilidade e Regulação
- Sistemas Elétricos de PotênciaTransmissão
A potência máxima transmitida por uma linha de transmissão pode ser substancialmente aumentada pela instalação de
Provas
Questão presente nas seguintes provas
Cadernos
Caderno Container