Foram encontradas 70 questões.
Uma amostra aleatória simples, de tamanho 4, de uma densidade normal com média
apresentou os seguintes valores:
2,0 4,0 3,0 3,0
O problema é testar
. O valor-p (significância) associado à estatística de teste usual é tal que:Provas
Uma amostra aleatória simples de tamanho 1.600 de uma população normal com variância 100 foi observada e resultou numa média amostral igual a 15. Um intervalo de 95% de confiança para a média populacional será estimado por:
Provas
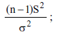
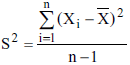
Uma amostra aleatória simples X1, X2, ... , Xn, de tamanho n, será obtida de uma população descrita por uma densidade normal com média
e variância
. Se X representa a média amostral e se
, então a seguinte variável tem distribuição qui-quadrado com n – 1 graus de liberdade:
Provas
Uma amostra aleatória simples X1, X2, X3, X4, de tamanho 4, de uma população com média
, será observada. Os seguintes estimadores de
estão sob análise:

Provas
Uma população é constituída por 50 elementos, dos quais 20 têm uma certa característica. Se 8 elementos dessa população forem selecionados ao acaso, sem reposição, então a variância do número de elementos que têm aquela característica na amostra é aproximadamente igual a:
Provas
Para que possamos garantir, com 99% de probabilidade, que o valor da média amostral - obtida a partir de uma amostra aleatória simples - não difira do da média populacional por mais de 5% do desvio padrão populacional, o tamanho da amostra deve ser, aproximadamente, no mínimo de:
Provas
Numa população, a porcentagem de pessoas casadas é igual a 50%. Se numa amostra aleatória simples, de tamanho 100, for obtida, a variância da proporção de pessoas casadas na amostra é igual a:
Provas
Uma população é composta por três elementos: 0, 0 e 1. Uma amostra aleatória simples de tamanho n = 2 será observada. A probabilidade de que a média amostral seja maior ou igual a 0,5 é igual a:
Provas
Uma variável aleatória X tem distribuição binomial com parâmetros n = 25 e p = 1/2. Se usarmos aproximação normal à binomial para calcularmos, com correção de continuidade, P[ 10 < X < 15 ] , obteremos aproximadamente:
Provas
Numa população, 10% das pessoas já tiveram hepatite. Se uma amostra aleatória simples de tamanho 400 for observada, a probabilidade de que ao menos 50 já tenham tido hepatite é aproximadamente de:
Provas
Caderno Container