Foram encontradas 70 questões.
Uma variável aleatória X tem função geradora de momentos dada por mX(t) = 0,2 + 0,8et. O valor de E[X2] é:
Provas
Duas variáveis aleatórias X e Y são independentes e identicamente distribuídas com distribuição normal padrão (ou seja, com média 0 e variância 1). A probabilidade de que X seja menor do que 0 ou que Y seja menor do que 0 é igual a:
Provas
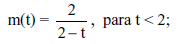
Uma variável aleatória X tem função de densidade de probabilidade dada por:

A função geradora de momentos de X é dada por:
Provas
X e Y são variáveis aleatórias contínuas com função de densidade de probabilidade conjunta dada por:

O valor esperado condicional de Y dado x = 1/2 é igual a:
Provas
Uma variável aleatória X discreta tem valores possíveis – 2, – 1, 0 e 2 e probabilidades respectivas 0,1; 0,4; 0,3 e 0,2. O valor de E[X³] é:
Provas
Suponha que veículos passem por uma certa praça de pedágio de acordo com um processo Poisson a uma taxa média de 0,5 por minuto. A probabilidade de que passem mais de dois veículos num intervalo de dois minutos é aproximadamente igual a 
Provas
Os comprimentos de certos equipamentos são normalmente distribuídos com média 33,4cm e variância 1,44cm². A porcentagem de equipamentos que têm comprimentos inferiores a 31,2cm é aproximadamente igual a:
Provas

A probabilidade de que X seja um número entre 2 e 4 é igual a:
Provas
Das famílias de funções de densidades a seguir, a que NÃO tem média é:
Provas
Uma variável aleatória X tem distribuição Poisson com parâmetro 2. O valor de E [ X² ] é:
Provas
Caderno Container