Foram encontradas 816 questões.
Uma importante limitação no projeto de reatores nucleares
é que a temperatura no interior do combustível não ultrapasse
o seu ponto de fusão, de modo que não ocorra o
derretimento dos elementos combustíveis. A temperatura
de fusão típica para combustíveis cerâmicos utilizando o
UO2 é de
Provas
Questão presente nas seguintes provas
Uma importante limitação no projeto termo-hidráulico de
um reator nuclear que utiliza água ou água pesada como
moderador/refrigerante é a temperatura crítica dessas
substâncias. Essa temperatura, na qual as substâncias
não se liquefazem mediante compressão isotérmica, é
de, aproximadamente,
Provas
Questão presente nas seguintes provas
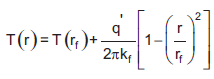
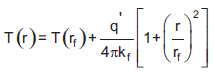
Na vareta de combustível, o calor gerado pelas fissões
nucleares é transmitido por condução térmica. Em uma
vareta de combustível cilíndrica de raio rf, condutividade
térmica kf e densidade linear de potência q, a distribuição
radial de temperatura na vareta de combustível é dada
pela expressão
Provas
Questão presente nas seguintes provas
O ciclo de potência termodinâmico básico é o de Carnot.
Nesse ciclo, todo o calor é recebido isotermicamente a uma
temperatura T1 e todo o calor rejeitado é liberado
isotermicamente a uma temperatura mais baixa T2. O rendimento
percentual de uma máquina térmica que opera a
temperaturas de fonte fria e fonte quente, respectivamente,
de 127 ºC e 227 ºC, é de
Provas
Questão presente nas seguintes provas
Nos reatores PWR, o controle do reator também é feito
por meio de barras absorvedoras que possuem, entre outras
funções, o desligamento rápido e seguro do reator.
Qual dos materiais abaixo é empregado na fabricação de
barras de controle para serem utilizadas em reatores de
potência térmicos do tipo PWR?
Provas
Questão presente nas seguintes provas
Qual dos materiais abaixo é utilizado para revestir as
pastilhas cilíndricas de combustível UO2 em reatores de
potência PWR, como os de Angra I e II?
Provas
Questão presente nas seguintes provas
O componente básico do núcleo do reator é o combustível
nuclear. Em reatores de potência do tipo PWR, como os
de Angra I e II, utilizam-se pastilhas cilíndricas de combustível
UO2. As pastilhas são fabricadas a partir do pó de
bióxido de urânio ligeiramente enriquecido a x% em peso,
onde x é, aproximadamente,
Provas
Questão presente nas seguintes provas
Em algumas aplicações, é mais conveniente expressar as
relações empíricas existentes para o Número de Nusselt
(Nu) em função do Número de Peclet (Pe) que, por sua
vez, é escrito em função dos Números de Reynolds (Re)
e Prandtl (Pr). O Número de Peclet (Pe) é definido segundo
a expressão
Provas
Questão presente nas seguintes provas

Provas
Questão presente nas seguintes provas
O ciclo termodinâmico utilizado em reatores refrigerados a
gás, cuja transferência de calor ocorre de forma isobárica
e com processos de realização de trabalho adiabáticos, é
o Ciclo de
Provas
Questão presente nas seguintes provas
Cadernos
Caderno Container