Magna Concursos

Foram encontradas 370 questões.

905867 Ano: 2016
Disciplina: Física
Banca: ENEM
Orgão: ENEM
Um eletricista deve instalar um chuveiro que tem as especificações 220 V — 4 400 W a 6 800 W. Para a instalação de chuveiros, recomenda-se uma rede própria, com fios de diâmetro adequado e um disjuntor dimensionado à potência e à corrente elétrica previstas, com uma margem de tolerância próxima de 10%. Os disjuntores são dispositivos de segurança utilizados para proteger as instalações elétricas de curtos-circuitos e sobrecargas elétricas e devem desarmar sempre que houver passagem de corrente elétrica superior à permitida no dispositivo.
Para fazer uma instalação segura desse chuveiro, o valor da corrente máxima do disjuntor deve ser
 

Provas

Questão presente nas seguintes provas
905814 Ano: 2016
Disciplina: Biologia
Banca: ENEM
Orgão: ENEM
Um jovem suspeita que não é filho biológico de seus pais, pois descobriu que o seu tipo sanguíneo é O Rh negativo, o de sua mãe é B Rh positivo e de seu pai é A Rh positivo.
A condição genotípica que possibilita que ele seja realmente filho biológico de seus pais é que
 

Provas

Questão presente nas seguintes provas
904171 Ano: 2016
Disciplina: Português
Banca: ENEM
Orgão: ENEM
Você pode não acreditar
Você pode não acreditar: mas houve um tempo em que os leiteiros deixavam as garrafinhas de leite do lado de fora das casas, seja ao pé da porta, seja na janela.
A gente ia de uniforme azul e branco para o grupo, de manhãzinha, passava pelas casas e não ocorria que alguém pudesse roubar aquilo.
Você pode não acreditar: mas houve um tempo em que os padeiros deixavam o pão na soleira da porta ou na janela que dava para a rua. A gente passava e via aquilo como uma coisa normal.
Você pode não acreditar: mas houve um tempo em que você saía à noite para namorar e voltava andando pelas ruas da cidade, caminhando displicentemente, sentindo cheiro de jasmim e de alecrim, sem olhar para trás, sem temer as sombras.
Você pode não acreditar: houve um tempo em que as pessoas se visitavam airosamente. Chegavam no meio da tarde ou à noite, contavam casos, tomavam café, falavam da saúde, tricotavam sobre a vida alheia e voltavam de bonde às suas casas.
Você pode não acreditar: mas houve um tempo em que o namorado primeiro ficava andando com a moça numa rua perto da casa dela, depois passava a namorar no portão, depois tinha ingresso na sala da família. Era sinal de que já estava praticamente noivo e seguro.
Houve um tempo em que havia tempo.
Houve um tempo.
SANT’ANNA, A. R. Estado de Minas, 5 maio 2013 (fragmento).
Nessa crônica, a repetição do trecho “Você pode não acreditar: mas houve um tempo em que..." configura-se como uma estratégia argumentativa que visa
 

Provas

Questão presente nas seguintes provas
898742 Ano: 2016
Disciplina: Química
Banca: ENEM
Orgão: ENEM
O benzeno, um importante solvente para a indústria química, é obtido industrialmente pela destilação do petróleo. Contudo, também pode ser sintetizado pela trimerização do acetileno catalisada por ferro metálico sob altas temperaturas, conforme a equação química:
!$ 3 \, C_2H_2 (g) → C_6H_6 (l) !$
A energia envolvida nesse processo pode ser calculada indiretamente pela variação de entalpia das reações de combustão das substâncias participantes, nas mesmas condições experimentais:
I - !$ C_2H_2 (g) + { \large 5 \over 2} O_2 (g) → 2 \, CO_2 (g) + H_2O (l) !$ !$ \Delta H_c° = -310 !$ kcal/mol
II - !$ C_6H_6 (l) + { \large 15 \over 2} O_2 (g) → 6 \, CO_2 (g) + 3 H_2O (l) !$ !$ \Delta H_c° = -780 !$ kcal/mol
A variação de entalpia do processo de trimerização, em kcal, para formação de um mol de benzeno é mais próxima de
 

Provas

Questão presente nas seguintes provas
898579 Ano: 2016
Disciplina: Biologia
Banca: ENEM
Orgão: ENEM
Pesquisadores recuperaram DNA de ossos de mamute (Mammuthus primigenius) encontrados na Sibériam, que tiveram sua idade de cerca de 28 mil anos confirmada pela técnica do carbono-14.
FAPESP. DNA de mamute é revelado. Disponível em: http://agencia.fapesp.br. Acesso em: 13 ago. 2012 (adaptado).
A técnica de datação apresentada no texto só é possível devido à
 

Provas

Questão presente nas seguintes provas
893361 Ano: 2016
Disciplina: Português
Banca: ENEM
Orgão: ENEM
Mandinga — Era a denominação que, no período das grandes navegações, os portugueses davam à costa ocidental da África. A palavra se tornou sinônimo de feitiçaria porque os exploradores lusitanos consideravam bruxos os africanos que ali habitavam — é que eles davam indicações sobre a existência de ouro na região. Em idiomanativo, manding designava terra de feiticeiros. A palavra acabou virando sinônimo de feitiço, sortilégio
.
COTRIM, M. O pulo do gato 3. São Paulo: Geração Editorial, 2009 (fragmento).
No texto, evidencia-se que a construção do significado da palavra mandinga resulta de um(a
 

Provas

Questão presente nas seguintes provas
893015 Ano: 2016
Disciplina: Educação Artística
Banca: ENEM
Orgão: ENEM
Lições de motim
DONA COTINHA - É claro! Só gosta de solidão quem nasceu pra ser solitário. Só o solitário gosta de solidão. Quem vive só e não gosta da solidão não é um solitário, é só um desacompanhado. (A reflexão escorrega lá pro fundo da alma.) Solidão é vocação, besta de quem pensa que é sina. Por isso, tem de ser valorizada. E não é qualquer um que pode ser solitário, não. Ah, mas não é mesmo! É preciso ter competência pra isso. (De súbito, pedagógica, volta-se para o homem.) É como poesia, sabe, moço? Tem de ser recitada em voz alta, que é pra gente sentir o gosto. (FAZ UMA PAUSA.) Você gosta de poesia? (O HOMEM TORNA A SE DEBATER. A VELHA INTERROMPE O DISCURSO E VOLTA A LHE DAR AS COSTAS, COMO SEMPRE, IMPASSÍVEL. O HOMEM, MAIS UMA VEZ, CANSADO, DESISTE.) Bem, como eu ia dizendo, pra viver bem com a solidão temos de ser proprietários dela e não inquilinos, me entende? Quem é inquilino da solidão não passa de um abandonado.
É isso aí.
ZORZETTI, H. Lições de motim.
Nesse trecho, o que caracteriza Lições de motim como texto teatral?
 

Provas

Questão presente nas seguintes provas
892994 Ano: 2016
Disciplina: Matemática
Banca: ENEM
Orgão: ENEM
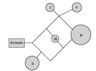
Um adolescente vai a um parque de diversões tendo, prioritariamente, o desejo de ir a um brinquedo que se encontra na área IV, dentre as áreas I, II, III, IV e V existentes. O esquema ilustra o mapa do parque, com a localização da entrada, das cinco áreas com os brinquedos disponíveis e dos possíveis caminhos para se chegar a cada área. O adolescente não tem conhecimento do mapa do parque e decide ir caminhando da entrada até chegar à área IV.
Enunciado 892994-1
Suponha que relativamente a cada ramificação, as opções iguais probabilidades de escolha, que a caminhada foi feita escolhendo ao acaso os caminhos existentes e que, ao tomar um caminho que chegue a uma área distinta da IV, o adolescente necessariamente passa por ela ou retorna.
Nessas condições, a probabilidade de ele chegar à área IV sem passar por outras áreas e sem retornar é igual a
 

Provas

Questão presente nas seguintes provas
892981 Ano: 2016
Disciplina: Literatura Brasileira e Estrangeira
Banca: ENEM
Orgão: ENEM
Os que fiam e tecem unem e ordenam materiais dispersos que, de outro modo, seriam vãos ou quase. Pertencem à mesma linhagem FIANDEIRA CARNEIRO FUSO LÃ dos geômetras, estabelecem leis e pontos de união para o desuno. Antes do fuso, da roca, do tear, das invenções destinadas a estender LÃ LINHO CASULO ALGODÃO LÃ os fios e cruzá-los, o algodão, a seda, era como se ainda estivessem TECEDEIRA URDIDURA TEAR LÃ imersos no limbo, nas trevas do informe. É o apelo à ordem que os traz à claridade, transforma-os em obras, portanto em objetos humanos, iluminados pelo espírito do homem. Não é por ser-nos úteis LÃ TRAMA CROCHÊ DESENHO LÃ que o burel ou o linho representam uma vitória do nosso engenho; TAPECEIRA BASTIDOR ROCA LÃ sim por serem tecidos, por cantar neles uma ordem, o sereno, o firme e rigoroso enlace da urdidura, das linhas enredadas. Assim é que LÃ COSER AGULHA CAPUCHO LÃ que suas expressões mais nobres são aquelas em que, com ainda maior disciplina, floresce o ornamento: no crochê, no tapete, FIANDEIRA CARNEIRO FUSO LÃ no brocado. Então, é como se por uma espécie de alquimia, de álgebra, de mágica, algodoais e carneiros, casulos, LÃ TRAMA CASULO CAPUCHO LÃ campos de linho, novamente surgissem, com uma vida menos rebelde, porém mais perdurável.
LINS, O. Nove, novena: narrativas. São Paulo: Cia. das Letras, 1998.
No trecho, retirado do conto Retábulo de Santa Joana Carolina, de Osman Lins, a fim de expressar uma ideia relativa à literatura, o autor emprega um procedimento singular de escrita, que consiste em
 

Provas

Questão presente nas seguintes provas
892929 Ano: 2016
Disciplina: Literatura Brasileira e Estrangeira
Banca: ENEM
Orgão: ENEM
Soneto VII
Onde estou? Este sítio desconheço:
Quem fez tão diferente aquele prado?
Tudo outra natureza tem tomado;
E em contemplá-lo tímido esmoreço.
Uma fonte aqui houve; eu não me esqueço
De estar a ela um dia reclinado:
Ali em vale um monte está mudado:
Quanto pode dos anos o progresso!
Árvores aqui vi tão florescentes,
Que faziam perpétua a primavera:
Nem troncos vejo agora decadentes.
Eu me engano: a região esta não era;
Mas que venho a estranhar, se estão presentes
Meus males, com que tudo degenera!
COSTA, C. M. Poemas. Disponível em: www.dominiopublico.gov.br. Acesso em: 7 jul. 2012.
No soneto de Cláudio Manuel da Costa, a contemplação da paisagem permite ao eu lírico uma reflexão em que transparece uma
 

Provas

Questão presente nas seguintes provas