Foram encontradas 185 questões.
Nos dias atuais, o amplo uso de objetos de plástico gera bastante lixo, que muitas vezes é eliminado pela população por meio da queima. Esse procedimento é prejudicial ao meio ambiente por lançar substâncias poluentes. Para constatar esse problema, um estudante analisou vinila (PVC), um tipo de plástico, cuja estrutura é representada na figura.

Para realizar esse experimento, o estudante colocou uma amostra de filme de PVC em um tubo de ensaio e o aqueceu, promovendo a decomposição térmica. Houve a liberação majoritária de um gás diatômico heteronuclear que foi recolhido em um recipiente acoplado ao tubo de ensaio. Esse gás, quando borbulhado em solução alcalina diluída contendo indicador ácido-base, alterou a cor da solução. Além disso, em contato com uma solução aquosa de carbonato de sódio (Na2CO3), liberou gás carbônico.
Qual foi o gás liberado majoritariamente na decomposição térmica desse tipo de plástico?
Provas
Finally, Aisha finished with her customer and asked what colour Ifemelu wanted for her hair attachments.
“Colour four.”
“Not good colour,” Aisha said promptly.
“That’s what I use.”
“It look dirty. You don’t want colour one?”
“Colour one is too black, it looks fake,” Ifemelu said, loosening her headwrap. “Sometimes I use colour two, but colour four is closest to my natural colour.”
[...]
She touched Ifemelu’s hair. “Why you don’t have relaxer?”
“I like my hair the way God made it.”
“But how you comb it? Hard to comb,” Aisha said.
Ifemelu had brought her own comb. She gently combed her hair, dense, soft and tightly coiled, until it framed her head like a halo. “It’s not hard to comb if you moisturize it properly,” she said, slipping into the coaxing tone of the proselytizer that she used whenever she was trying to convince other black women about the merits of wearing their hair natural. Aisha snorted; she clearly could not understand why anybody would choose to suffer through combing natural hair, instead of simply relaxing it. She sectioned out Ifemelu’s hair, plucked a little attachment from the pile on the table and began deftly to twist.
ADICHIE, C. Americanah: A novel. New York: Anchor Books, 2013.
A passagem do romance da escritora nigeriana traz um diálogo entre duas mulheres negras: a cabeleireira, Aisha, e a cliente, Ifemelu. O posicionamento da cliente é sustentado por argumentos que
Provas
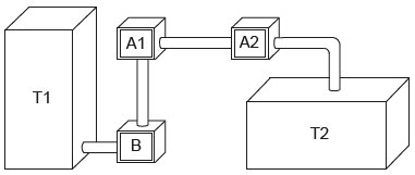
Um processo de aeração, que consiste na introdução de ar num líquido, acontece do seguinte modo: uma bomba B retira o líquido de um tanque T1 e o faz passar pelo aerador A1, que aumenta o volume do líquido em 15%, e em seguida pelo aerador A2, ganhando novo aumento de volume de 10%. Ao final, ele fica armazenado num tanque T2, de acordo com a figura.

Os tanques T1 e T2 são prismas retos de bases retangulares, sendo que a base de T1 tem comprimento c e largura L, e a base de T2 tem comprimento !$ { \large c \over 2} !$ e largura 2L.
Para finalizar o processo de aeração sem derramamento do líquido em T2, o responsável deve saber a relação entre a altura da coluna de líquido que já saiu de T1, denotada por x, e a altura da coluna de líquido que chegou a T2, denotada por y.
Disponível em: www.dec.ufcg.edu.br. Acesso em: 21 abr. 2015.
A equação que relaciona as medidas das alturas y e x é dada por
Provas
Enquanto um ser está vivo, a quantidade de carbono 14 nele existente não se altera. Quando ele morre, essa quantidade vai diminuindo. Sabe-se que a meia-vida do carbono 14 é de 5 730 anos, ou seja, num fóssil de um organismo que morreu há 5 730 anos haverá metade do carbono 14 que existia quando ele estava vivo. Assim, cientistas e arqueólogos usam a seguinte fórmula para saber a idade de um fóssil encontrado: !$ Q(t) = Q_0 ⋅ 2 ^{- { \large t \over 5730}} !$ em que t é o tempo, medido em ano, Q(t) é a quantidade de carbono 14 medida no instante t e Q0 é a quantidade de carbono 14 no ser vivo correspondente.
Um grupo de arqueólogos, numa de suas expedições, encontrou 5 fósseis de espécies conhecidas e mediram a quantidade de carbono 14 neles existente. Na tabela temos esses valores juntamente com a quantidade de carbono 14 nas referidas espécies vivas.

O fóssil mais antigo encontrado nessa expedição foi
Provas
É possível afirmar que muitas expressões idiomáticas transmitidas pela cultura regional possuem autores anônimos, no entanto, algumas delas surgiram em consequência de contextos históricos bem curiosos. “Aquele é um cabra da peste” é um bom exemplo dessas construções.
Para compreender essa expressão tão repetida no Nordeste brasileiro, faz-se necessário voltar o olhar para o século 16. “Cabra” remete à forma com que os navegadores portugueses chamavam os índios. Já “peste” estaria ligada à questão da superação e resistência, ou mesmo uma associação com o diabo. Assim, com o passar dos anos, passou-se a utilizar tal expressão para denominar qualquer indivíduo que se mostre corajoso, ou mesmo insolente, já que a expressão pode ter caráter positivo ou negativo. Aliás, quem já não ficou de “nhe-nhe-nhém” por aí? O termo, que normalmente tem significado de conversa interminável, monótona ou resmungo, tem origem no tupi-guarani e “nhém” significa “falar”.
Disponível em: http://leiturasdahistoria.uol.com.br. Acesso em: 13 dez. 2017.
A leitura do texto permite ao leitor entrar em contato com
Provas
Declaração de Direitos do Homem e do Cidadão – 1789
Os representantes do povo francês, tendo em vista que a ignorância, o esquecimento ou o desprezo dos direitos do homem são as únicas causas dos males públicos e da corrupção dos governos, resolveram declarar solenemente os direitos naturais, inalienáveis e sagrados do homem, a fim de que esta declaração, sempre presente em todos os membros do corpo social, lhes lembre permanentemente seus direitos e seus deveres; a fim de que as reivindicações dos cidadãos, fundadas em princípios simples e incontestáveis, se dirijam sempre à conservação da Constituição e à felicidade geral.
Disponível em: www.direitoshumanosusp.br. Acesso em: 7 jun. 2018 (adaptado).
Esse documento, elaborado no contexto da Revolução Francesa, reflete uma profunda mudança social ao estabelecer a
Provas
Para garantir que produtos eletrônicos estejam armazenados de forma adequada antes da venda, algumas empresas utilizam cartões indicadores de umidade nas embalagens desses produtos. Alguns desses cartões contêm um sal de cobalto que muda de cor em presença de água, de acordo com a equação química:

Como você procederia para reutilizar, num curto intervalo de tempo, um cartão que já estivesse com a coloração rosa?
Provas
A vida às vezes é como um jogo brincado na rua: estamos no último minuto de uma brincadeira bem quente e não sabemos que a qualquer momento pode chegar um mais velho a avisar que a brincadeira já acabou e está na hora de jantar. A vida afinal acontece muito de repente — nunca ninguém nos avisou que aquele era mesmo o último Carnaval da Vitória. O Carnaval também chegava sempre de repente. Nós, as crianças, vivíamos num tempo fora do tempo, sem nunca sabermos dos calendários de verdade. [...] O “dia da véspera do Carnaval”, como dizia a avó Nhé, era dia de confusão com roupas e pinturas a serem preparadas, sonhadas e inventadas. Mas quando acontecia era um dia rápido, porque os dias mágicos passam depressa deixando marcas fundas na nossa memória, que alguns chamam também de coração.
ONDJAKI. Os da minha rua. Rio de Janeiro: Língua Geral, 2007.
As significações afetivas engendradas no fragmento pressupõem o reconhecimento da
Provas
Há muitos mitos em relação a como se proteger de raios, cobrir espelhos e não pegar em facas, garfos e outros objetos metálicos, por exemplo. Mas, de fato, se houver uma tempestade com raios, alguns cuidados são importantes, como evitar ambientes abertos. Um bom abrigo para proteção é o interior de um automóvel, desde que este não seja conversível.
OLIVEIRA, A. Raios nas tempestades de verão. Disponível em:
http://cienciahoje.uol.com.br. Acesso em: 10 dez. 2014 (adaptado).
Qual o motivo físico da proteção fornecida pelos automóveis, conforme citado no texto?
Provas
Nas últimas décadas, uma acentuada feminização no mundo do trabalho vem ocorrendo. Se a participação masculina pouco cresceu no período pós-1970, a intensificação da inserção das mulheres foi o traço marcante. Entretanto, essa presença feminina se dá mais no espaço dos empregos precários, onde a exploração, em grande medida, se encontra mais acentuada.
NOGUEIRA, C. M. As trabalhadoras do telemarketing: uma nova divisão sexual do trabalho?
In: ANTUNES, R. et al. Infoproletários: degradação real do trabalho virtual.
São Paulo: Boitempo, 2009.
A transformação descrita no texto tem sido insuficiente para o estabelecimento de uma condição de igualdade de oportunidade em virtude da(s)
Provas
Caderno Container