Foram encontradas 185 questões.
- Estatística DescritivaMedidas de Tendência CentralMédiasMédia AritméticaMédia Simples (Não Agrupados)
O técnico de um time de basquete pretende aumentar a estatura média de sua equipe de 1,93 m para, no mínimo, 1,99 m. Para tanto, dentre os 15 jogadores que fazem parte de sua equipe, irá substituir os quatro mais baixos, de estaturas: 1,78 m, 1,82 m, 1,84 m e 1,86 m. Para isso, o técnico contratou um novo jogador de 2,02 m. Os outros três jogadores que ele ainda precisa contratar devem satisfazer à sua necessidade de aumentar a média das estaturas da equipe. Ele fixará a média das estaturas para os três jogadores que ainda precisa contratar dentro do critério inicialmente estabelecido.
Qual deverá ser a média mínima das estaturas, em metro, que ele deverá fi xar para o grupo de três novos jogadores que ainda irá contratar?
Provas
Seu delegado
Eu sou viúvo e tenho um filho homem
Arrumei uma viúva e fui me casar
A minha sogra era muito teimosa
Com o meu filho foi se matrimoniar
Desse matrimônio nasceu um garoto
Desde esse dia que eu ando é louco
Esse garoto é filho do meu filho
E o filho da minha sogra é irmão da minha mulher
Ele é meu neto e eu sou cunhado dele
A minha nora é minha sogra
Meu filho meu sogro é
Nessa confusão já nem sei quem sou
Acaba esse garoto sendo meu avô.
TRIO FORROZÃO. Agitando a rapaziada.
Rio de Janeiro: Natasha Records, 2009.
Nessa letra da canção, a suposição do último verso sinaliza a intenção do autor de
Provas
A arte pré-histórica africana foi incontestavelmente um veículo de mensagens pedagógicas e sociais. Os San, que constituem hoje o povo mais próximo da realidade das representações rupestres, afirmam que seus antepassados lhes explicaram sua visão do mundo a partir desse gigantesco livro de imagens que são as galerias. A educação dos povos que desconhecem a escrita está baseada sobretudo na imagem e no som, no audiovisual.
KI-ZERBO, J. A arte pré-histórica africana. In: KI-ZERBO, J. (Org.)
História geral da África, I: metodologia e pré-história da África.
Brasília: Unesco, 2010.
De acordo com o texto, a arte mencionada é importante para os povos que a cultivam por colaborar para o(a)
Provas
Um dos resquícios franceses na dança são os comandos proferidos pelo marcador da quadrilha. Seu papel é anunciar os próximos passos da coreografia. O abrasileiramento de termos franceses deu origem, por exemplo, ao saruê (soirée — reunião social noturna, ordem para todos se juntarem no centro do salão), anarriê (en arrière — para trás) e anavã (en avant — para frente).
Disponível em: www.ebc.com.br. Acesso em: 6 jul. 2015.
A característica apresentada dessa manifestação popular resulta do seguinte processo socio-histórico:
Provas
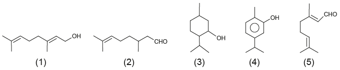
Um microempresário do ramo de cosméticos utiliza óleos essenciais e quer produzir um creme com fragrância de rosas. O principal componente do óleo de rosas tem cadeia poli-insaturada e hidroxila em carbono terminal. O catálogo dos óleos essenciais apresenta, para escolha da essência, estas estruturas químicas:

Qual substância o empresário deverá utilizar?
Provas
Ao abrigo do teto, sua jornada de fé começava na sala de jantar. Na pequena célula cristã, dividia-se a refeição e durante elas os crentes conversavam, rezavam e liam cartas de correligionários residentes em locais diferentes do Império Romano (século II da Era Cristã). Esse ambiente garantia peculiar apoio emocional às experiências intensamente individuais que abrigava.
SENNET, R. Carne e pedra. Rio de Janeiro: Record, 2008.
Um motivo que explica a ambientação da prática descrita no texto encontra-se no(a)
Provas
Oye, Pito, ésta es: la vida bruta de un boy
mis tierras eran
nuevo méxico, colorado,
california, arizona, tejas,
y muchos otros senderos,
aún cuando la luz existía
sonrientemente
en las palabras
de mis antepasados...
era entonces hombre,
maduro y sencillo
como los cerros y los peñascos,
y mi cultura era el atole,
el chaquehue, y los buenos días;
mi idioma cantaba
versículos
por los cañones
de tierra roja
y tierra amarilla...
Hoy sí, hoy ya no soy
mejicano ni hispano
ni tampoco americano,
pero soy — y bien lo siento ser —
una sombra del pasado
y un esfuerzo
hacia el futuro...
SÁNCHEZ, R. Disponível em: www.materialdelectura.unam.mx. Acesso em: 4 dez. 2017.
Ao abordar a expropriação de territórios mexicanos pelos Estados Unidos, o eu lírico do poema revela um(a)
Provas
Desde o mundo antigo e sua filosofia, que o trabalho tem sido compreendido como expressão de vida e degradação, criação e infelicidade, atividade vital e escravidão, felicidade social e servidão. Trabalho e fadiga. Na Modernidade, sob o comando do mundo da mercadoria e do dinheiro, a prevalência do negócio (negar o ócio) veio sepultar o império do repouso, da folga e da preguiça, criando uma ética positiva do trabalho.
ANTUNES, R. O século XX e a era da degradação do trabalho. In: SILVA, J. P. (Org.).
Por uma sociologia do século XX. São Paulo: Annablume, 2007 (adaptado).
O processo de ressignificação do trabalho nas sociedades modernas teve início a partir do surgimento de uma nova mentalidade, influenciada pela
Provas

O conjunto representado pelo agronegócio demanda condições específicas que passam a ser exigidas dos territórios. Como há uma elevação da formação de fluxos, materiais e imateriais, a crescente articulação com as escalas que vão do local ao global terminam por pressionar o Estado a agir visando uma instalação no território de fixos diversos, bem como de uma regulação específica.
LIMA, R. C.; PENNA, N. A. A logística de transportes do agronegócio em Mato Grosso (Brasil). Confins, n. 26, fev. 2016.
O mapa e o texto se complementam indicando que a expansão das rodovias se deu como resposta ao(à)
Provas
O consumo de espumantes no Brasil tem aumentado nos últimos anos. Uma das etapas do seu processo de produção consiste no envasamento da bebida em garrafas semelhantes às da imagem. Nesse processo, a vazão do líquido no interior da garrafa é constante e cessa quando atinge o nível de envasamento.

Qual esboço de gráfico melhor representa a variação da altura do líquido em função do tempo, na garrafa indicada na imagem?
Provas
Caderno Container