Foram encontradas 40 questões.
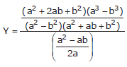
Considere os números reais a, b e x tais que
!$ a + b = x !$
!$ a - b = x^{-1} !$
!$ a \ne b \ne 0 !$
O valor da expressão
é
é Provas
Questão presente nas seguintes provas
Nos preparativos da festa de 60 anos da EPCAR, um grupo A composto de 6 soldados, trabalhando 6 horas por dia, contava com prazo de 7 dias para aparar a grama dos jardins, utilizando todos os componentes o mesmo tipo de equipamento.
Já que outros setores da Escola necessitavam também de reparos, ao final do 5º dia, quando apenas 75% do gramado estava cortado, alguns soldados foram remanejados e um novo grupo B se formou.
Esse grupo B, cuja quantidade de soldados correspondia a !$ \dfrac {1} {3} !$ do grupo A, dispõe-se a acabar de aparar a grama dos jardins, aumentando a carga horária diária em !$ 33 \dfrac {1} {3} \% !$ e utilizando equipamentos duas vezes mais produtivo.
Supondo que todos os equipamentos tiveram perfeito funcionamento aproveitando sua capacidade máxima, é correto afirmar que o grupo B concluiu a tarefa
Provas
Questão presente nas seguintes provas
Pedro colocou um terreno a venda visando um lucro de 20% sobre o preço de custo.
Tendo em vista que a crise financeira atual dificultou a transação, ele resolveu fazer a venda em duas etapas:
1ª etapa: Vendeu !$ \dfrac {3} {5} !$ de !$ \dfrac {2} {3} !$ do terreno reduzindo taxa de lucro à metade e recebeu R$ 44 000,00 pelo negócio.
2ª etapa: Vendeu o restante do terreno e conseguiu o lucro de 20% sobre o custo desta parte.
Analisando os fatos acima, conclui-se que Pedro
Provas
Questão presente nas seguintes provas
Chama-se agrimensura a arte de medição de terras. O agrimensor é aquele que obtém as medidas de um terreno. Um fazendeiro comprou um terreno cuja base planificada tem a forma de um retângulo. A pedido do fazendeiro, o agrimensor desenhou a vista frontal e a vista lateral desse terreno indicando medidas precisas que ele obteve utilizando-se de estacas auxiliares de mesma medida,

Tornando-se como referência a forma planificada retangular do terreno cujo custo do metro quadrado foi de 120 reais para o fazendeiro, é correto afirmar que
Provas
Questão presente nas seguintes provas
Carta à Minha Escola
Aluno Furia
Minha querida EPCAR,
Já és uma senhora. Uma balzaquiana cheia de vida, de esperanças e de sonhos não sonhados, uma senhora responsável por centenas de jovens corações pulsando vibrantes, com o futuro correndo nas veias, e a paixão estalando nos ossos.
Ah, mas não há uma noite que a saudade não se faça presente, não há um de seus dias sempre iguais, em que a solidão e a alma não estejam repletas de incertezas quanto ao futuro. Como são bravos os teus filhos, tão cheios de vontade, capazes de dar a vida que ainda não tiveram para honrar o teu nome! São filhos do sonho de voar, netos de Ícaro, sobrinhos de Bartolomeu de Gusmão, herdeiros de Santos Dumont.
Ah, minha Senhora, já viste tantas coisas! Quantos segredos ouviste e não contaste a ninguém. Quantos amores teus já partiram(b) sem que derramasses uma única lágrima. Quantos meninos de olhos assustados transformaste em homens de coragem incontestável na arte de pilotar um avião ou enaltecer a vida civil. Quantos destinos aqui se cruzaram. Quantos anos se passaram(a)... Em cada canto um nome, uma história para contar.
EPCAR, ninguém pode te explicar, nem tudo tem explicações. Mas teu lema ecoa como um suspiro de saudade no fundo do peito de cada um que já esteve em teus braços e acalentaste com teu afago, e cada um, ainda que por um momento, entendeu o “ Nom multa sed multum.”
Há cinquenta e um anos vens moldando o caráter de cidadãos brasileiros, ensinando-lhes a dignidade, a união, a compaixão e a amizade. De Barbacena, dizes a todos que o destino dos sonhadores ainda não foi escrito e que ela continua azul(a)... E, se hoje completas mais um ano de existência, faze-o(c) com a certeza de ter cumprido tua missão, com a certeza de que amanhã, quando a corneta tocar, outros meninos chegarão, serão irmanados e, como todos os que aqui se formaram, guardarão na memória, com suave ternura, teu legado de honra em prol da educação militar no Brasil.
In: Senta a Pua! Turma Ponto 50 – Barbacena, Dez 2000.
Assinale a alternativa INCORRETA.
Provas
Questão presente nas seguintes provas
ENSINA-ME A SONHAR
Foi na porta da escola que meu pai me falou:
- Vai, meu filho, e enxuga essa lágrima.
Eu era menino, pouco sabia, e achava que meus lápis coloridos não seriam suficientes para enfrentar o mundo. Disseram-me que a vida não era tão fácil e que eu tinha muito a aprender.
Salas de aula do colégio interno eu frequentei. Sentado, escutava das cadeiras de madeira, marcadas pelo tempo e pelos canivetes dos alunos, as lições dos mestres de outrora. Aprendia com o giz poeirento que sujava o chão.
E, todos os dias, esbarrava com passos ligeiros de pessoas apressadas. Senhoras elegantes de olheiras cansadas, senhoritas delicadas de lábios pintados, homens de cara fechada e jaleco surrado, jovens de barba malfeita e ideias rebeldes. Um senhor gorducho rabiscava com habilidade números estranhos e dizia que Pitágoras, ah! este sim, foi um grande homem. Olhos seguros falavam de Camões e Machado, diziam que o sujeito podia estar oculto e até não existir. Explicavam-me o nome dos rios e dos mares, a língua do Novo Mundo e a história do Velho. Diziam-me que o quadrado era um losango, o sol uma estrela, e que o coração batia sem saber.
Sei que já muito aprendi. Sei que a vida não é fácil, mas, agora, também não parece difícil.
Agradeço ao mestre que me despertou a dúvida, mostrou-me o caminho e chorou quando errei. Pode até ser que, hoje, esteja lendo seus livros, esquecido do mundo, sem mais lecionar. Mas ele sabe, orgulhoso, que um dia já teve o sorriso sincero do aluno que aprendeu a lição. E eu gostaria de, como criança levada que recebeu um presente, dizer:
- Muito obrigado, meu professor.
Aluno Furia.
Homenagem a todos aqueles que estiveram ou estão nesta Escola, usando o jaleco do mestre e dando ao menino um sonho a buscar.
Com dedicação e amor, humildade e respeito, riscam no quadro o futuro do aluno, esperando ansiosos por mais uma aula.
In: Senta a Pua! Turma Ponto 50, Barbacena, Dez. 2000.
Escreva (V) para as afirmativas verdadeiras e (F) para as falsas.
Em seguida, assinale a alternativa com sequência correta.
( ) Em “Olhos seguros falavam...” configura-se um paradoxo.
( ) Em “... números estranhos”, “lápis coloridos não seriam suficientes para enfrentar o mundo” prevalece a linguagem conotativa.
( ) “Olhos seguros falavam de Camões e Machado, diziam que o sujeito podia estar oculto e até não existir.” evoca a atuação de todo o corpo docente.
( ) “Vai, meu filho, e enxuga essa lágrima.” possui dupla significação: denotativa e conotativa.
( ) Prevalece, no texto, a linguagem coloquial e a denotação, remetendo o leitor à função referencial da linguagem.
( ) “Muito obrigado, meu professor...” expressa semanticamente não só um agradecimento, mas também uma admiração.
Provas
Questão presente nas seguintes provas
Durante as comemorações dos 60 anos de EPCAR, em virtude do louvável destaque que os alunos do CPCAR alcançaram em 2008 nas Olimpíadas de Matemática, serão produzidas placas para premiação dos melhores classificados.
Tais placas deverão conter o emblema abaixo cujas figuras geométricas serão contornadas por um fio de ouro de espessura uniforme.

Sabendo que 10g de ouro custam R$ 450,00 e produzem 10 cm desse fio, pode-se estimar que o valor, em reais, gasto com o ouro para a confecção de um medalha estará entre os números
Provas
Questão presente nas seguintes provas
Sobre os lados do triângulo equilátero ABC abaixo tornam-se os pontos D, E e F tais que !$ \overline {AD} = \overline {BE} = \overline {CF} !$

Sobre os lados do triângulo DEF da figura (I), tornam-se os pontos G, H e I tais que !$ \overline {DG} = \overline {EH} = \overline {FI} !$

Com base nas figuras (I) e (II), tem-se, necessariamente, que
Provas
Questão presente nas seguintes provas
Seja f a função real definida por f(x) = ax2 - bx + c e V, o vértice da parábola representada graficamente por

Após a análise gráfica, assinale a alternativa INCORRETA.
Provas
Questão presente nas seguintes provas
Carta à Minha Escola
Aluno Furia
| Minha querida EPCAR, | |
| Já és uma senhora. Uma balzaquiana cheia de vida, de | |
| esperanças e de sonhos não sonhados, uma senhora | |
| responsável por centenas de jovens corações pulsando | |
| vibrantes, com o futuro correndo nas veias, e a paixão | |
| 5 | estalando nos ossos. |
| Ah, mas não há uma noite que a saudade não se faça | |
| presente, não há um de seus dias sempre iguais, em que a | |
| solidão e a alma não estejam repletas de incertezas quanto | |
| ao futuro. Como são bravos os teus filhos, tão cheios de | |
| 10 | vontade, capazes de dar a vida que ainda não tiveram para |
| honrar o teu nome! São filhos do sonho de voar, netos de | |
| Ícaro, sobrinhos de Bartolomeu de Gusmão, herdeiros de | |
| Santos Dumont. | |
| Ah, minha Senhora, já viste tantas coisas! Quantos | |
| 15 | segredos ouviste e não contaste a ninguém. Quantos |
| amores teus já partiram sem que derramasses uma única | |
| lágrima. Quantos meninos de olhos assustados | |
| transformaste em homens de coragem incontestável na | |
| arte de pilotar um avião ou enaltecer a vida civil. Quantos | |
| 20 | destinos aqui se cruzaram. Quantos anos se passaram... |
| Em cada canto um nome, uma história para contar. | |
| EPCAR, ninguém pode te explicar, nem tudo tem | |
| explicações. Mas teu lema ecoa como um suspiro de | |
| saudade no fundo do peito de cada um que já esteve em | |
| 25 | teus braços e acalentaste com teu afago, e cada um, ainda |
| que por um momento, entendeu o “Nom multa sed | |
| multum.” | |
| Há cinquenta e um anos vens moldando o caráter de | |
| cidadãos brasileiros, ensinando-lhes a dignidade, a união, a | |
| 30 | compaixão e a amizade. De Barbacena, dizes a todos que o |
| destino dos sonhadores ainda não foi escrito e que ela | |
| continua azul... E, se hoje completas mais um ano de | |
| existência, faze-o com a certeza de ter cumprido tua | |
| missão, com a certeza de que amanhã, quando a corneta | |
| 35 | tocar, outros meninos chegarão, serão irmanados e, como |
| todos os que aqui se formaram, guardarão na memória, | |
| com suave ternura, teu legado de honra em prol da | |
| educação militar no Brasil. |
In: Senta a Pua! Turma Ponto 50 – Barbacena, Dez 2000.
Da leitura do texto, é correto inferir que
Provas
Questão presente nas seguintes provas
Cadernos
Caderno Container